藥品簡介
通用名稱:胞磷膽鹼鈉氯化鈉注射液
英文名稱:CiticolineSodiumandSodiumChlorideInjection
化學結構式漢語拼音:BaolindanjiannaLühuanaZhusheye
成份:本品主要成份為胞磷膽鹼鈉。
化學名稱:膽鹼胞嘧啶核苷二磷酸酯的單鈉鹽
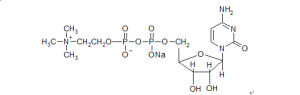
化學結構式:
分子式:C14H25N4NaO11P2分子量:510.31
輔料:氯化鈉
性狀
本品為無色的澄明液體。
適應症
用於急性顱腦外傷及腦手術後的意識障礙。
規格
50ml:胞磷膽鹼鈉0.5g與氯化鈉0.45g
用法用量
靜脈滴註:每次0.25~0.5g,每日1次,緩慢滴注。5~10日為一療程。
不良反應
全身:偶見發熱、倦怠、過敏樣反應,嚴重者有過敏性休克的報告。
心血管系統:偶見暫時性血壓下降、心動過緩和心動過速。
消化系統:偶見噁心、嘔吐、食欲不振、胃痛、胃燒灼感、腹瀉和肝功能異常。
呼吸系統:有發生過敏性哮喘的報告,嚴重者可出現呼吸困難和喉水腫。
神經系統:偶見眩暈、震顫、頭痛、失眠、興奮、煩躁不安和痙攣。
皮膚五官:偶見皮疹及一過性復視。
禁忌
對本品過敏者禁用。
注意事項
1.有藥物過敏史的患者慎用;
2.對伴有腦出血、腦水腫和顱壓增高的嚴重急性顱腦損傷患者慎用;
3.癲癇及低血壓患者慎用;
4.本品為含鈉製劑,請低鈉者套用時注意。
孕婦及哺乳期婦女用藥
孕婦及哺乳期婦女用藥的安全有效性尚未確立。孕婦及哺乳期婦女慎用。
兒童用藥
根據病情和年齡適當調整劑量。
老年用藥
根據病情和年齡適當調整劑量。
藥物相互作用
本品用於震顫麻痹病人時,不宜與左旋多巴合用,否則可引起肌僵直惡化。
藥物過量
用量過大,可能有噁心、嘔吐、食欲不振、頭痛、失眠、興奮、痙攣等症狀,可減量,並對症處理。
藥理毒理
胞磷膽鹼為核苷衍生物,可增強腦幹網狀結構、尤其是與意識密切相關的上行網狀結構激動系統的機能;增強椎體系統的機能,改善運動麻痹;改善大腦循環,通過減少大腦血流阻力,增加大腦血流而促進大腦物質代謝,對促進大腦功能恢復和促進甦醒等具有一定作用。
藥代動力學
本品注射後血藥濃度迅速下降,30分鐘降至注入時的1/3,1~2小時基本穩定,分布以肝內最多,占10%。在肝臟代謝為游離膽鹼和胞苷二磷酸,主要經腎臟和肺清除,原藥半衰期為3.5小時,主要代謝物膽鹼的清除半衰期為2小時。本品較難通過血腦屏障,進入腦內的藥物很少,僅占0.1%,但藥物在腦內停留時間很長,注射後3小時內藥物濃度達峰值,並在24小時內保持不變;而且損傷腦比正常腦、受損半球比未受損半球的胞磷膽鹼含量明顯升高。
貯藏
遮光,密閉保存。
包裝
50ml玻璃輸液瓶,1瓶/盒。
有效期
24個月。
執行標準
《中國藥典》2010年版二部
批准文號
國藥準字H20063689
生產企業
企業名稱:山東新時代藥業有限公司

