介紹
原子散射因子 原子散射因子f定義為原子散射波幅與一個電.子散射波幅之比.即它承擔原子散射X射線能力是電子散射能力多少倍的物理意義。
原子散射因子與x射線波長、原子種類、衍射方向有關。含電子數量多的原子,其散射x射線能力高,f一值大。原子散射能力或f值將隨衍射指標hkl或布拉格衍射角0的升值而顯著下降。不考慮反常散射效應時,原子散射因子為實函式。
原子散射因子原理
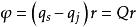
原子散射因子圖中表示原子對X射線的散射. r是原子中某一點P的位矢,q和q分別為入射波矢和散射波矢. 由P點的散射波和由原子中心O點的散射波之間的位相差為:
這裡積分對整個原子體積進行. 其值與電子的空間分布ρ(r)有關,亦即與原子形狀有關,所以原子散射因子也叫形狀因子。
原子散射因子
原子散射因子散射角為零時,原子散射因子的值等於原子序數,即原子中的電子數.散射角增大,散射因子隨之減小。International Tables forX-ray Crystallography Vol Ⅲ(1962)列出了各種原子的散射因子在不同的sinθ/λ時的值。
如果X射線的波長略低於原子的吸收邊,則原子對X射線有強烈的吸收並引起反常的相位變化,這種情況下原子散射因子要用複數表示。
原子散射因子溫度升高時,原子振動加劇,散射因子減小.通常引入散射因子的溫度因子來描寫這種變化.如果振動是各向同性的,則溫度因子為exp(-Bsinθ/λ),即f=fexp(-B·sinθ/λ). 這裡f和f分別表示計及原子振動和不計原子振動時的散射因子,是原子的均方位移.。

