卡爾曼-布希濾波
正文
基於狀態空間描述(見狀態空間法)對混有噪聲的信號進行濾波的方法,簡稱卡爾曼濾波。這種方法是R.E.卡爾曼和R.S.布希於1960和1961年提出的。卡爾曼濾波是一種切實可行和便於套用的濾波方法,其計算過程通常需要在計算機上實現。實現卡爾曼濾波的裝置或軟體稱為卡爾曼濾波器。特點 從混有噪聲(干擾)的信號中濾除噪聲、提取有用信號是濾波的基本目的。在卡爾曼濾波出現以前,已經建立了採用最小二乘法處理觀測數據和採用維納濾波方法處理平穩隨機過程的濾波理論。但這些濾波方法或因功能不夠,或因條件要求苛刻,而不便於實用。卡爾曼濾波是在克服以往濾波方法的局限性的基礎上提出來的,是濾波方法的重大演進。卡爾曼濾波比維納濾波有以下優點:①在卡爾曼濾波中採用物理意義較為直觀的時間域語言,而在維納濾波中則採用物理意義較為間接的頻率域語言。②卡爾曼濾波僅需要有限時間內的觀測數據,而維納濾波則需要用過去的半無限時間內的全部觀測數據。③卡爾曼濾波可使用比較簡單的遞推算法,而維納濾波則需要求解一個積分方程。④卡爾曼濾波可以推廣到非平穩隨機過程的情況,而維納濾波只適用於平穩隨機過程。⑤卡爾曼濾波所需數據存儲量較小,便於用計算機進行實時處理,而維納濾波的計算複雜,步驟冗長,不便於實時處理。在相同條件下,卡爾曼濾波能得出與維納濾波相同的結果。在實用上,卡爾曼濾波比維納濾波功能強,用途廣。卡爾曼濾波已在航天技術、通信工程、工業控制等領域中得到比較廣泛的套用。卡爾曼濾波的局限性表現在只能用於線性的信號過程,即狀態方程和觀測方程都是線性的隨機系統,而且噪聲必須服從高斯分布。雖然不少實際問題都可滿足這些限制條件,但當實際系統的非線性特性稍強或者噪聲特性偏離高斯分布較大時,卡爾曼濾波就不能給出符合實際的結果。
原理 線性離散隨機系統用如下離散時間的動態方程和觀測方程描述:

(上標T表示矩陣轉置),其中
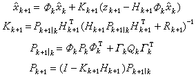
一步最優預測估值憫k+1|k需要經觀測值zk+1的修正後才能得到xk+1的最優估值憫k+1,即 

,I表示單位矩陣,上標-1表示矩陣求逆,Pk=var(xk-憫k)為濾波誤差方差陣。這四個方程所表示的遞推算法就是卡爾曼濾波,從初始值出發由此可遞推地算出任一時刻k的最優估值憫k。對於連續時間情況也有類似的方程組,但差分方程將為微分方程所代替。在卡爾曼濾波中,當噪聲{wk}和{vk}為白噪聲時,憫k是xk的所有線性估計中的最小方差估計。而當{wk}和{vk}為高斯白噪聲時,憫k是xk的所有估計中的最小方差估計。由於這個緣故,卡爾曼濾波也常被稱為最優濾波。 參考書目
A.P.塞奇、I.L.梅爾薩著,田承駿、唐策善等譯:《估計理論及其在通訊與控制中的套用》,科學出版社,北京,1978。(A.P.Sage and J.L.Melsa,Estimation Theory with Applications to Communications and Control, McGraw-Hill, New York,1971.)
中國科學院數學研究所機率組編:《離散時間系統濾波的數學方法》,國防工業出版社,北京,1975。
