簡介
一定厚度的雙折射晶體,當法向入射的光透過時,尋常光(o光)和非常光(e光)之間的位相差等於π或其奇數倍,這樣的晶片稱為二分之一波片,簡稱半波片。
在橢圓偏振光所示的情況中,選擇晶體板的厚度使o光和e光間的位相差為π或其奇數倍,則自晶體板出來的合成光仍為平面偏振光,不過出射光的振動平面相對入射光的振動平面旋轉了2θ角,此θ角為入射光振動平面跟晶體表面上光軸的夾角,也就是說,當某一平面偏振光穿過半波片時,出射光仍為平面偏振光,只不過偏振光的振動面旋轉了一定角度2θ,並且此旋轉角的大小隻取決於入射光振動平面與晶體光軸間的夾角θ。
同樣道理,當尋常光(o光)和非常光(e光)之間的位相差等於 π/2或其奇數倍,這樣的晶片稱為四分之一波片或 1/4波片。當線偏振光垂直入射1/4波片,並且光的偏振和雲母的光軸面(垂直自然裂開面)成角,出射後成橢圓偏振光。特別當=45°時,出射光為圓偏振光。
半波片的製作
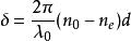
通常多用雲母片來制半波片,雲母是雙軸晶體。光垂直入射自然裂開面,出射兩個振動方向相互垂直的偏振光,它們在晶體中的折射率分別為n=1.5936與n=1.5977,因而光從晶體出來後兩偏振光產生了相位差δ為
半波片
半波片式中n和n分別為該晶體對在真空中波長為λ的o光和e光的主折射率,d為兩者穿過晶體的厚
度。對於λ=589.3nm的鈉黃光得到d為0.070mm。將雲母片劈到此厚度,就得到了半波片。為比較兩個彼此成一角度的平面偏振光的相鄰視場,視場的一半常置一個半波片,如醫療化驗或化工檢查用的“旋光測糖儀”中就利用半波片來提高測量的精度。
特點
半波片可以對偏振光進行旋轉。因為線偏振光垂直入射到半波片,透射光仍為線偏振光,假如入射時振動面和晶體主截面之間的夾角為θ,則透射出來的線偏振光的振動面從原來的方位轉過2θ角。
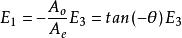
半波片的附加相位延遲差為 :
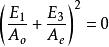
將其代入橢圓方程,得
半波片
半波片該式也為一直線方程,即出射光仍為線偏振光,只是振動面的方位較入射光轉過了2θ角, 當θ=45°時,振動面轉過 90°。
半波片套用
(1)用來在偏振光的尋常光與非尋常光分量酌位相之間,產生半波長的光程差或者180°位相差的延遲板;
(2)用於拉曼光譜中。
(3)半波片可以對偏振光進行旋轉。因為線偏振光垂直入射到半波片,透射光仍為線偏振光,假如入射時振動面和晶體主截面之間的夾角為θ,則透射出來的線偏振光的振動面從原來的方位轉過2θ角。

