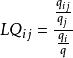
所謂熵,就是比率的比率。它是由哈蓋特所提出的概念,其反映某一產業部門的專業化程度,以及某一區域在高層次區域的地位和作用。區位熵的計算公式為:
區位熵
區位熵
區位熵
區位熵
區位熵
區位熵在此公式中,就是j地區的i產業在全國的區位熵,為j地區的i產業的相關指標(例如產值、就業人數等);為j地區所有產業的相關指標; 指在全國範圍內i產業的相關指標;為全國所有產業的相關指標。
區位熵
區位熵
區位熵的值越高,地區產業集聚水平就越高,一般來說:當 >1時,我們認為j地區的區域經濟在全國來說具有優勢;當<1時我們認為j地區的區域經濟在全國來說具有劣勢。區位熵方法簡便易行,可在一定程度上反映出地區層面的產業集聚水平。

