簡介

相關規定
為創建節約型社會,貫徹落實《固體廢物污染環境防治法》,促進食品加工企業清潔化生產,減少固體廢棄物的產生量和危害性,在GB19855-2005《月餅》強制性國家標準的基礎上,進一步制定食品的包裝規範,遏制食品行業過度包裝現象。
《食品包裝規範》
《食品包裝規範》規定飲料、酒、糕點、保健品、休閒食品、茶葉等食品的包裝層數以及包裝空隙率必須符合一定的規範。以酒類為例,商品銷售包裝內不必要的空間體積與商品銷售包裝體積的比率(即包裝空隙率)不得超過55%。
《食品包裝規範》詳細規定了食品包裝的設計生產原則、標識及包裝廢棄物的回收管理。像酒類、飲料、糕點的包裝層數都不得超過3層。保健食品的包裝空隙率不得超過50%,同時包裝層數也必須在3層及以下。茶葉的包裝空隙率將不得超過25%,包裝層數也必須在3層及以下。
《限制商品過度包裝要求食品和化妝品》
《限制商品過度包裝要求食品和化妝品》的國家標準,並從2010年4月1日起開始實施,包裝要求對食品和化妝品銷售包裝的層數、空隙率和成本三個指標做出了強制性規定,包括包裝層數不得超過3層、包裝空隙率不得大於60%、初始包裝之外的所有包裝成本總和不得超過商品銷售價格的20%等。
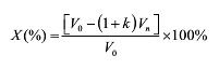
計算

X(%):包裝空隙率
V0:商品銷售包裝體積,指商品銷售包裝(不含手提、扣件、綁繩等配件)的外切最小體積
Vn:商品初始包裝的總體積,各商品的初始包裝體積的總和。商品初始包裝體積指商品初始包裝的外切最小立方體體積。
K:商品必要空間係數。商品必要的空間體積指用於保護或固定各產品初始包裝所需要的空間。
銷售包裝空隙率及包裝層數

飲料、酒55% 3層及以下
糕點55% 3層及以下
保健食品50% 3層及以下
休閒食品50% 2層以下
茶葉25% 3層及以下
當內裝產品淨含量均等於或小於30ml或30g,可以免除包裝空隙率和包裝層數的要求。
當內裝產品淨含量均大於30ml或30g,並等於或小於50ml或50g,可以放寬包裝空隙率的要求,其最大包裝空隙率不應超過60%。
糕點商品類別中月餅除外。
包裝空隙率計算中,必要空間係數取值為0.6。
違規現象

此外,還對生產和銷售的飲料酒進行了商品包裝監督抽查。本次共抽查66批次,經檢驗,不合格3批次,其中包括標稱貴州茅台酒廠集團技術開發公司和煙臺張裕葡萄釀酒股份有限公司的兩款產品。
每年的中秋時節都是月餅銷售旺季,在售的月餅包裝大多過於豪華,明顯超過了規定的包裝空隙率。

