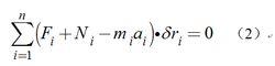
動力學普遍方程又稱拉格朗日-達朗伯方程,可表達為:質點系中各質點上的主動力
動力學普遍方程和慣性力
動力學普遍方程對於其虛位移
動力學普遍方程所作的虛功之總和為零,即
動力學普遍方程按照達朗伯原理,對每一質點有:
動力學普遍方程所以其總和
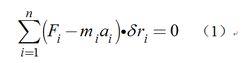
動力學普遍方程對理想約束有故
動力學普遍方程由式(2)即得式(1)。
套用統一坐標,以表示方向的主動力,則式(1)可寫作:
動力學普遍方程對於動力學問題,3n個
動力學普遍方程(j=l,2,…,3n)有約束方程相聯繫,由式(3)不能得出
動力學普遍方程只能利用約束方程消去與約束方程個數相等的
動力學普遍方程後,才能使留下的
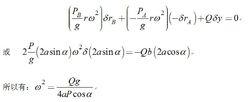
動力學普遍方程前的括弧為零,例如,在離心調速器中,重為P和P(P=P=P)的兩球A和B與一重為Q的套管O用桿
動力學普遍方程連線,且OC=AC=EC=OD=DE=DB=a,略去桿重不計,則此機構可看成由三個質點A,B與0組成。令
動力學普遍方程則當機構以角速度繞軸轉動時,動力學普遍方程可寫為:
動力學普遍方程參考文獻
1、詞條作者:汪家訸.《中國大百科全書》74卷(第一版)力學 詞條:動力學普遍方程:中國大百科全書 出版社,1987 :118頁.

