弧的定義
圓上任意兩點間的部分叫做圓弧,簡稱弧。弧是一條平面曲線,它是圓上兩點間的一段,包含兩個端點,而連線 弧的兩個端點之間的線段稱為弦。弧用符號“⌒”表示。例如,以A、B為端點的圓弧讀做圓弧AB或弧AB,小於半圓的弧叫劣弧。
弧的表示方式半圓也是弧,連線AB兩點的直線是弦AB。半圓既不是劣弧也不是優弧,它是區分劣弧和優弧的一個界限。
弧的分類
弧的分類主要是有這幾類:分為半圓、圓、優弧和劣弧。
公式
關於弧的計算公式有以下兩個:
劣弧(1)劣弧對應的弧長計算公式:,其中,R=半徑,n=圓弧的角度的絕對值。
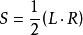
劣弧(2)劣弧對應的扇形的面積計算公式:,其中,L=圓弧的弧長,R=半徑。
優弧
優弧是指圓心位於弧與弦連線成的封閉圖形之內; 劣弧是指圓心位於弧與弦連線成的封閉圖形之外。簡單地說,大於半圓的弧即是優弧,而小於半圓的弧就叫劣弧。半圓則沒有優劣弧之分。 優弧是指圓心位於弧與弦連線成的封閉圖形之內; 劣弧是指圓心位於弧與弦連線成的封閉圖形之外。
劣弧定方向
“沿劣弧判斷東西方”是經緯網圖上判讀方向的一個原則。
南北方沿經線判斷,一般情況下沿經線上北下南——比較簡單。東西方判斷要沿緯線判斷,東西方是相對於兩點之間而言的。由於緯線是繞地球一周的圓圈,一條緯線上的兩點實際上就將一條緯線截成了連段弧線,其中較長的一段叫優弧,短的一段就叫劣弧,優弧所跨的經度多、距離大劣弧所跨的緯度少、距離小,因此判斷東西方只能沿劣弧判斷。由此可知,地球上兩點的方位尤其是東西方向,以劣弧為準。

