概念釋義
在數學(尤其是幾何)中,半圓是形成一半圓的點的一維軌跡。 半圓的圓弧總是測量180°(相當於π弧度或半圈)。 它只有一條對稱線(反射對稱)。圓的任意一條直徑的兩個端點把圓分成兩條弧,每一條弧都叫做半圓。半圓要和半圓形分開,因為半個圓只是一個弧。它是圓的一半,半圓形的圓心的位置是它同心圓的圓心的位置,只有一條直徑,但有無數條半徑,有一條對稱軸。
在非技術用途中,術語“半圓”有時用於表示半圓盤,其是二維幾何形狀,其還包括從弧的一端到另一端的直徑段,以及所有內點。
通過泰勒斯定理,在半圓的每個端點處的半圓形內切的任何三角形和半圓的其他位置的第三個頂點是直角三角形,在第三個頂點具有直角。
與半圓相交的所有直線垂直於包含給定半圓的圓的中心。
用途
半圓可用於使用直邊和羅盤構造兩個長度的算術和幾何平均值。 如果我們製作直徑為a+ b的半圓,那么半徑的長度是a和b的算術平均值(由於半徑是直徑的一半)。 可以通過將直徑分成長度為a和b的兩個段,然後將它們的共同端點連線到具有垂直於直徑的段的半圓上來找到幾何平均值。 所得到的段的長度是幾何平均值,可以使用畢達哥拉斯定理來證明。 這可以用於實現矩形的正交(因為其邊等於矩形的邊的幾何平均值的正方形具有與矩形相同的面積),並且因此可以構造一個矩形的矩形 相等的區域,如任何多邊形(但不是一個圓)。
方程式
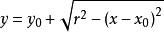
半圓[幾何圖形]在端點之間的直徑上的中點 的半圓的方程從下面完全是凹的,如下式所示:
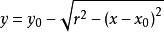
半圓[幾何圖形]如果從上方完全是凹的,方程式是:
半圓[幾何圖形]弓形
一個弓形是一個由三個半圓連線的平面內的一個區域,所有三個半圓
半圓[幾何圖形]圓
基本定義
在一個平面內,一動點以一定點位中心,以一定長度為距離旋轉一周所形成的封閉曲線叫做圓。
在同一平面內在,到定點的距離等於定長的點的集合叫做圓。
圓是一種幾何圖形。根據定義,通常用圓規來畫圓。 同圓內圓的半徑長度永遠相同,圓有無數條半徑和無數條直徑。圓是軸對稱、中心對稱圖形。對稱軸是直徑所在的直線。 同時,圓又是“正無限多邊形”,而“無限”只是一個概念。當多邊形的邊數越多時,其形狀、周長、面積就都越接近於圓。所以,世界上沒有真正的圓,圓實際上只是概念性的圖形。
相關定義
(1)徑
1.連線圓心和圓上的任意一點的線段叫做半徑,字母表示為 r( radius)
2.通過圓心並且兩端都在圓上的線段叫做直徑,字母表示為 d( diameter)。直徑所在的直線是圓的對稱軸。
圓的直徑 d=2r
(2)弦
1.連線圓上任意兩點的線段叫做弦( chord).在同一個圓內最長的弦是直徑。直徑所在的直線是圓的對稱軸,因此,圓的對稱軸有無數條。
(3)弧
1.圓上任意兩點間的部分叫做圓弧,簡稱弧(arc)以“⌒”表示。
2.大於半圓的弧稱為優弧,小於半圓的弧稱為劣弧,所以半圓既不是優弧,也不是劣弧。優弧一般用三個字母表示,劣弧一般用兩個字母表示。優弧是所對圓心角大於180度的弧,劣弧是所對圓心角小於180度的弧。
3.在同圓或等圓中,能夠互相重合的兩條弧叫做等弧。
(4)角
1.頂點在圓心上的角叫做圓心角(central angle)。
2. 頂點在圓周上,且它的兩邊分別與圓有另一個交點的角叫做圓周角。圓周角等於相同弧所對的圓心角的一半。
(5)圓周率
圓周長度與圓的直徑長度的比值叫做圓周率。它是一個無限不循環小數,通常用字母π表示,π=3.1415926535897932384626……計算時通常取3.14。我們可以說圓的周長是直徑的π倍,或大約3.14倍,不能直接說圓的周長是直徑的3.14倍!
(6)形
1.由弦和它所對的一段弧圍成的圖形叫做弓形。
2. 由圓心角的兩條半徑和圓心角所對應的一段弧圍成的圖形叫做扇形( sector)。
計算公式
(1)圓的周長公式
半圓[幾何圖形]圓的周長:
圓周長的一半 c=πr
半圓的周長 c=πr+2r
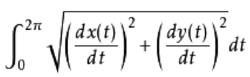
圓的周長公式推導(此方面涉及到弧微分)
半圓[幾何圖形]設圓的參數方程為
圓在一周內周長的積分
半圓[幾何圖形]代入,可得
半圓[幾何圖形]
半圓[幾何圖形]即
(2)圓的面積公式
半圓[幾何圖形]圓的面積計算公式:
把圓分成若干等份,可以拼成一個近似的長方形。長方形的寬相當於圓的半徑。
半圓[幾何圖形]圓錐側面積,(l為母線長)
(3)弧長角度公式
扇形弧長L=圓心角(弧度制) * R= nπR/180(n為圓心角)(R為扇形半徑)
扇形面積S=nπ R²/360=LR/2(L為扇形的弧長)
圓錐底面半徑 r=nR/360(r為底面半徑)(n為圓心角)
(4)扇形面積公式
R是扇形半徑,n是弧所對圓心角度數,π是圓周率,L是扇形對應的弧長。
也可以用扇形所在圓的面積除以360再乘以扇形圓心角的角度n,如下:
(L為弧長,R為扇形半徑)
推導過程:S=πr²×L/2πr=LR/2
(L=│α│·R)
性質
⑴圓是軸對稱圖形,其對稱軸是任意一條通過圓心的直線。圓也是中心對稱圖形,其對稱中心是圓心。垂徑定理:垂直於弦的直徑平分這條弦,並且平分弦所對的2條弧。逆定理:平分弦(不是直徑)的直徑垂直於弦,並且平分弦所對的2條弧。
⑵有關圓周角和圓心角的性質和定理
① 在同圓或等圓中,如果兩個圓心角,兩個圓周角,兩組弧,兩條弦,兩條弦心距中有一組量相等,那么他們所對應的其餘各組量都分別相等。
②在同圓或等圓中,相等的弧所對的圓周角等於它所對的圓心角的一半(圓周角與圓心角在弦的同側)。
直徑所對的圓周角是直角。90度的圓周角所對的弦是直徑。
圓心角計算公式: θ=(L/2πr)×360°=180°L/πr=L/r(弧度)。
即圓心角的度數等於它所對的弧的度數;圓周角的度數等於它所對的弧的度數的一半。
③ 如果一條弧的長是另一條弧的2倍,那么其所對的圓周角和圓心角是另一條弧的2倍。
⑶有關外接圓和內切圓的性質和定理
①一個三角形有唯一確定的外接圓和內切圓。外接圓圓心是三角形各邊垂直平分線的交點,到三角形三個頂點距離相等;
②內切圓的圓心是三角形各內角平分線的交點,到三角形三邊距離相等。
③R=2S△÷L(R:內切圓半徑,S:三角形面積,L:三角形周長)。
④兩相切圓的連心線過切點。(連心線:兩個圓心相連的直線)
⑤圓O中的弦PQ的中點M,過點M任作兩弦AB,CD,弦AC與BD分別交PQ於X,Y,則M為XY之中點。
(4)如果兩圓相交,那么連線兩圓圓心的線段(直線也可)垂直平分公共弦。
(5)弦切角的度數等於它所夾的弧的度數的一半。
(6)圓內角的度數等於這個角所對的弧的度數之和的一半。
(7)圓外角的度數等於這個角所截兩段弧的度數之差的一半。
(8)周長相等,圓面積比正方形、長方形、三角形的面積大。
![半圓[幾何圖形] 半圓[幾何圖形]](/img/e/f6f/nBnauM3X2czN5YDOwADM0kDN1UTM1QDN5MjM5ADMwAjMwUzLwAzL1QzLt92YucmbvRWdo5Cd0FmLzE2LvoDc0RHa.jpg)
