概念
削度是描述樹幹直徑沿其樹幹向上隨乾徑位置的升高而逐漸減小變化程度的指標。分絕對削度和相對削度。絕對削度是樹幹上相距1米兩端直徑之差。相對削度通常以胸徑(d1.3)為100,其他各斷面之直徑與其相比的百分數。削度值的大小直接影響材積和出材率。
方程的概念及分類
表示樹幹上各部位的直徑(帶皮或去皮)d為該乾徑位置距地面高h、全樹高H及胸高直徑D的數學函式,稱為削度方程(Taperequation),即d=f(h,H,D)。
另外,表達樹幹上各單位直徑d隨其距梢端距離x而變化的數學函式,稱為乾曲線方程(Stemcurveequation),即d=f(x)。由此可以看出,削度方程與乾曲線方程不完全相同,即兩者表達的內容相同(描述乾形的變化),但其表達形式不同。
任何一個削度方程都不可能完滿地描述所有樹種的樹幹形狀的變化,同時,也不會完全適應某一樹種的所有林分。因此,為了適應各種情況,就提出了許多不同形式的削度方程(如表6—16中所示),以及根據不同的樹種、林分狀況、套用目的,選擇使用這些削度方程。
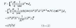
根據削度方程與材積方程之間的關係,又可分為一致性削度方程(Compatibletaperequation)和非一致性削度方程(Noncompatibletaperequation)。若某一削度方程與一個既定的全樹幹材積方程之間,可以通過積分與求導運算能夠相互導出,並且兩個方程的參數值之間存在著代數關係時,這樣的削度方程稱為一致性削度方程,否則,就為非一致性削度方程。根據這個概念可以看出,任何材積方程經過求導運算都可以導出一個與其材積相一致的削度方程,其特點是兩個方程能夠提供一致性的材積估計值。例如表6—22中方程(7)為山本材積方程(V=aDbHc)的一致性削度方程,其關係推導如下:
若削度方程為:
若削度方程相應的材積方程為:
若削度方程相應的材積方程同樣,根據已有的材積方程,利用內在的關係經過求導就可以確定相應的削度方程。如Clutter(1980)根據下列兩個材積方程,導出相應的削度方程,即

式中:Vt——全樹幹立方英尺材積(帶皮);
D——胸徑;
H——全樹高;
d——商品材小頭直徑(帶皮);
Vm——上至d(英寸)商品材小頭直徑處的商品材積。
根據(6—3)、(6—4)兩個材積方程所導出的相應削度方程為

式中:D——胸徑;
H——全樹高;
d——距地面高h處的帶皮直徑。
削度方程的作用
削度方程與反映樹幹飽滿程度的形數有一定內在關係,若從反映完整樹幹形狀變化規律方面看,削度方程則優於形數,因為只要削度方程選擇得當,就能夠較確切地反映完整樹幹形狀的變化規律,因此,削度方程是一個較好的乾形指標。另外,削度方程與某一形數的內在關係,可以通過由削度方程積分所得到的材積方程,依據某一形數的定義,求出削度方程與這個形數因子的數學關係式。
削度方程除能較好地描述完整樹幹形狀變化外,還可以估計樹幹上任意部位的直徑、任意既定直徑部位距樹基的長度、樹幹上任意分段的材積及全樹幹材積,這些削度方程的作用正是利用削度方程編制材種出材率表的重要依據。
利用削度方程或削度表編制材種出材率表時,仍不能充分考慮樹幹病腐、彎曲、枝節等因素對出材率的影響。因此,這些方法只能嚴格限制在那些沒有或基本沒有病腐、彎曲等缺陷、且枝節基本不影響出材率的林木,否則會使出材率估計偏高。鑒於這種情況,利用削度方程或削度表編制材種出材率表的方法,更適用於人工林。
表6—16中所用符號含義如下:
a、a1、a2、b0、b1、b2、b3、b4、C——方程參數;
D——胸高帶皮直徑(m);
D0.1——距樹頂H處的帶皮直徑;
d——在樹幹h高處的帶(去)皮直徑;
H——全樹高(m);
h——從地面起算的高度或至某上部直徑限或利用長度限處的高度;
L——樹幹上任意部位距梢端的距離;
K——換算係數(K=π[4(100)2]=π/40000),乘以D2得以m2為單位的斷面積。
表6—16樹幹削度方程一覽表
樹幹削度方程一覽表①原方程中d;D0.1為半徑。
1.2利用削度方程編制材種出材率表
根據木材標準、依照造材原則對隨機抽取的樣木(一般要求400株以上)進行實際造材,並分別徑階統計樣木造材結果,如徑階平均直徑、平均高、帶(去)皮材積、樣木株數、各材種用材長度、去皮材積以及薪材、廢材材積或占帶皮材積百分比等。然後,根據選用的削度方程整理出擬合削度方程所需要的數據。
現以孟憲宇(1991)利用一致性削度方程[表6—16中方程(7)式]編制遼寧省落葉松礦柱林材種出材率表為例,簡要介紹編制材種出材率表的主要方法及步驟。
⑴削度方程
落葉松礦柱林隨機樣木共960株,根據樣木2m區分段及梢頭木帶(去)皮直徑值,分別徑階計算出相對高度(0.1H、0.2H、……、0.9H)處的帶(去)皮直徑值(d0.1h、d0.2h、……、d0.9h),並列示為相對高度直徑表。根據這個表中的數據,採用疊代法求出一致性削度方程(表6—16中方程(7)式)中的乾形參數B值(B=PC),求解結果B=2.486,其方程為:
6--23(6—23)
式中:V——樹幹帶皮材積(相當於表6—16(7)式中10aDbHc);
L——樹幹上任意部位距梢端的距離;
H——樹全高;
d——L處的小頭去皮直徑;
B——乾形參數B=2.486(即表6—16(7)式中PC=2.486)。
⑵材種標準
人工落葉松礦柱林以生產礦柱材種為主,同時,也生產特用電桿、普通電桿、簡易電桿、腳手桿及小徑材,各材種規格見於表6—17。
表6—17材種標準
材種標準本著簡便適用的原則,擬定分3個材種組編制材種出材率表,即小簡坑材種組(小徑材、簡易電桿、坑木材種)、小腳坑材種組(小徑材、腳手桿、坑木材種)、電柱材種組(特用電桿、普通電桿、坑木、簡易電桿、腳手桿、小徑材材種)。分別3個材種組,根據材種尺寸進行造材。根據各材種組實際造材結果,以徑階為單位,進行統計計算。
⑶原木累積用材長度百分比方程
分別材種組,利用各徑階上至各材種小頭直徑限處原木累積用材長度,計算出相應累積用材長度占徑階平均高的百分比值(以百分數表示)。以此為原始數據,繪製散點圖,根據散點分布趨勢選擇方程,現將小簡坑材種組的原木累積用材長度百分比方程列示如下:
上至小頭直徑4cm處:
上述文字附圖上至小頭直徑8cm處:
上述文字附圖上至小頭直徑12cm處:
上述文字附圖(4)材種去皮材積百分比方程
根據一致性削度方程的乾形參數B=2.486,及各材種組原木累積用材長度百分比方程所計算出來的理論值(見表6—18),利用下列一致性材積比方程(Compatiblevolumeratioequation),計算出各徑階材種去皮材積占徑階去皮材積百分比值:
V%=1-(1-L)B(6—27)
其計算結果見表6—19。
下圖為表表6—18:原木累積用材長度百分比 (小、簡、坑材種組)
原木累積用材長度百分比下圖為:表6—19材種出材率計算過程(小、簡、坑材種組)
材種出材率計算過程林業術語
| 森林是生命之源,林業是經濟和社會可持續發展的重要基礎,是生態建設最根本、最長期的措施。在可持續發展中,應該賦予林業以重要地位;在生態建設中,應該賦予林業以首要地位”。“森林這一主題涉及環境與發展的整個範圍的問題和機遇……”。 |
