簡介
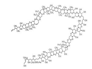
刺尾魚為鱸形目(Perciformes)刺尾魚科(Acanthuridae)約75種體高而薄的熱帶海生魚類的統稱。刺尾魚毒素(maitotoxin,MTX)是由崗比甲藻類產生,經食物鏈蓄積於刺尾魚體內的一類結構獨特的海洋生物毒素(the marine dinoflagellate Gambierdiscus toxicus)。隨著海洋資源的開發利用及MTX中毒事故的增多,MTX越來越受到人們的重視。目前已成功地從崗比甲藻和刺尾魚體內分離並純化MTX。刺尾魚毒素常與西加毒素同時存在於相同的魚體中。剌尾魚毒素具有非常獨特的性質,本身為生物高分子(biopolymer),為分子量最大的天然物,也是造成草食性魚類有毒的主要熱帶珊瑚礁魚毒素,也是天然毒素最強的一種,其LD50= 50mg·kg-1.,只有少數幾種細菌性蛋白質毒素的毒性大於刺尾魚毒素。

