基本介紹
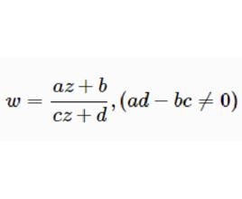
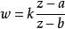
由分式線性函式
分式線性變換所給出的映射叫做 分式線性變換,它有幾個特殊形式:
分式線性變換(1)平移變換這是整個平面的一個平移,每一個點都移動一個向量b。
分式線性變換
分式線性變換
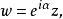
分式線性變換(2)旋轉變換(是實數),這是以原點為中心的一個旋轉,旋轉角為。
分式線性變換(3)相似變換這是一個以原點為中心,伸張係數為r的相似變換。
分式線性變換
分式線性變換
分式線性變換(4)倒數變換它又可以分解為:及前者是一個關於單位圓周的反演變換,後者是一個關於實軸的反射變換。
對任意分式線性變換,可分為兩種情況;
分式線性變換1.若c=0,它是一個整線性變換可由(1)一(3)三種簡單變換疊合而成。
分式線性變換
分式線性變換2.若把它改寫成,可由(1)—(4)四種簡單變換疊合而成 。
分式線性變換的性質
定理1
任一個分式線性函式(1),給出一個從閉z平面到閉w平面的雙方單值的保角變換(這裡我們定義兩條曲線交在無窮遠處的角,等於它們在倒數變換下的象曲線在原點的交角) 。
定理2
(保圓性)分式線性變換把圓周變成圓周。
這裡及下面幾個定理中,所說到的圓周,都包括直線在內,也就是說,把直線看成是通過無窮遠點的圓周。這樣,一個圓周經過分式線性變換後,究竟是變成直線還是普通圓周,只要看它上面有沒有無窮遠點就可以確定。
定理3
(保對稱點不變性)分式線性變換把對某一圓周為對稱的點,變為對這個圓周的象對稱的點。
定理4
分式線性變換
分式線性變換
分式線性變換
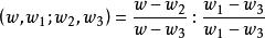
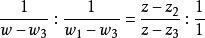
分式線性變換任給z平面上三個不同的點和w平面上的三個點則存在唯一個分式線性變換,把分別變為而且這個分式線性變換可表為
分式線性變換
分式線性變換這裡。
分式線性變換
分式線性變換
分式線性變換
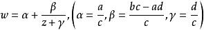
分式線性變換如果或中的某一個是只需在(2)式中把含有這個數的因子改為1即可,例如,當時,(2)式成為
分式線性變換即
分式線性變換
分式線性變換
分式線性變換
分式線性變換
分式線性變換
分式線性變換
分式線性變換
分式線性變換
分式線性變換
分式線性變換
分式線性變換
分式線性變換
分式線性變換由保圓性可知,分式線性變換(1),把由三點所確定的圓周C,變成由三點所確定的圓周C',圓周C和C' 分別將z平免和w平面分成兩個區域及和及,而且變換(1)把由經走向時,位在左邊的區域,變成在w平面上,由經走向時,位在左邊的區域。
分式線性變換
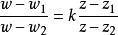
分式線性變換利用分式線性變換解題時,下述事實是經常有用的: 如果一個分式線性變換滿足條件則這個變換可以表為
分式線性變換(k為任意復常數).
分式線性變換
分式線性變換特別地,若則。

