基本介紹
分式方程組方程組 中,方程的分母中含有未知數,像這樣的方程組稱為 分式方程組。
解分式方程的基本思想為“化分式方程為整式方程”,同樣,解分式方程組的基本思想為“化分式方程組為整式方程組”,也就是把方程組中的每一個分式方程都轉化為整式方程。
解分式方程組可以把它化成整式方程組後再求解,有些時候也可以根據方程組的特點用不同的方法解題。
解分式方程組時,由於變形過程中,曾用含未知數的整式去乘方程的兩邊,並約去分母,因此可能產生增根,所以驗根這個步驟對解分式方程組來說,也是必不可少的 。
例題解析
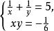
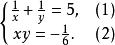
分式方程組【例1】解方程組
分式方程組
分式方程組解:因為 所以 ,原方程組可化為
分式方程組
分式方程組
分式方程組
分式方程組設 是一元二次方程 的兩個解,解得 即
分式方程組所以
分式方程組
分式方程組經檢驗 都是原方程組的解。
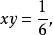
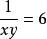
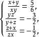
【例2】解方程
分式方程組分析 此題若用去分母法,變形為三元二次方程組,計算較繁,如果能轉化為它的倒數來處理,問題就化難為易了。
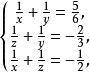
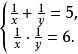
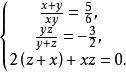
分式方程組解 取倒數
分式方程組拆項得
分式方程組三個方程相加整理得:
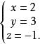
分式方程組再用這個方程減上面每個方程可求x,y,z,解得
分式方程組經檢驗知是原方程組解 。
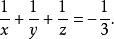
故原方程的解為
分式方程組
