概念
切齒時,被切齒輪與產形刀具節平面作純滾動的錐面,稱作 分度圓錐(簡稱分錐)。
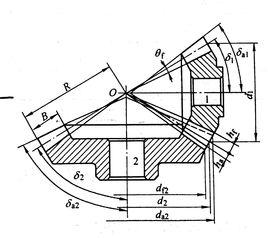
圖1 錐齒輪幾何尺寸
分度圓錐角分度圓錐 角(簡稱 分錐角)是錐齒輪軸線與分錐母線之間的夾角(如圖1中 )。
計算方法
軸交角∑是兩個錐齒輪嚙合時候兩軸線的交角。
分度圓錐角
分度圓錐角軸交角等於兩個分錐角之和,即: 。絕大多數錐齒輪傳動 。
圖2兩個錐齒輪嚙合傳動如圖2。
| 分錐角 | 小齒輪 | 大齒輪 |
分度圓錐角 | 分度圓錐角 | 分度圓錐角 |
分度圓錐角 | 分度圓錐角 | 分度圓錐角 |
分度圓錐角 | 分度圓錐角 | 分度圓錐角 |
式中:
分度圓錐角——軸交角
分度圓錐角——齒數比
分度圓錐角——齒數
分度圓錐角——分錐角
與節錐角關係
圖3 節錐角
分度圓錐角與錐齒輪副傳動比相同的純滾動圓錐稱為 節圓錐。節錐母線和軸線的夾角稱為 節錐角,以 表示(見圖3)。
分度圓錐角當齒輪無變位或採用高變位時,節錐角和分錐角重合,即 。目前錐齒輪多採用高變位。當採用角變位圓錐的時候,節錐角和分錐角不再相等。
高變位錐齒輪
圖4 高變位傳動高變位是指圓錐齒輪在變位後齒頂高和齒根高不再和規定的標準基準齒輪相符(如圖4)。
分度圓錐角
分度圓錐角
分度圓錐角
分度圓錐角
分度圓錐角
分度圓錐角
分度圓錐角當小輪採用正高變位,大輪採用負高變位,係數 時( 為變位係數),稱為高變位傳動。這時嚙合角 =分度圓壓力角 ,節錐角 =分錐角 ,錐距 不變。高變位傳動是在圓錐齒輪傳動中運用最為廣泛的傳動。
分度圓錐角採用齒形角 的高變位傳動的時候,為避免發生干涉或根切,當量齒數應滿足以下條件:
分度圓錐角
分度圓錐角
分度圓錐角
分度圓錐角式中 、 分別為小輪和大輪的分錐角。個別情況下允許小量根切時,當量齒數和 。
分度圓錐角
分度圓錐角小輪的高變位係數可以按齒數比 ,由下式計算之,但齒數需滿足 :
分度圓錐角小輪
分度圓錐角當軸交角 時
分度圓錐角小輪
分度圓錐角大輪
角變位錐齒輪
分度圓錐角
分度圓錐角
分度圓錐角當兩輪的變位係數之和不等於零,即 時,則嚙合角不等於分度圓壓力角( ),節錐角不等於分錐角( ),稱為 角變位傳動。
角變位後,節錐角不等於分錐角,錐距也與變位之前不相同。因此,幾何計算比與高變位複雜。由於角變位傳動在圓錐齒輪中套用較少,此處不作詳細介紹。
強度計算
圖5 受力分析直齒錐齒輪嚙合受力圖如圖5所示。
受力分析時,假設力作用在直齒圓錐齒輪齒寬中點處的分度圓上,得:
圓周力
分度圓錐角軸向力
分度圓錐角
分度圓錐角徑向力
分度圓錐角
分度圓錐角
分度圓錐角
分度圓錐角
分度圓錐角當軸交角 時,則 , 。
式中:
分度圓錐角
分度圓錐角——作用在圓錐齒輪上的額定轉矩
分度圓錐角
分度圓錐角——齒寬中點處的分度圓直徑
分度圓錐角——大端分度圓直徑
分度圓錐角
分度圓錐角——分度圓壓力角( )
分度圓錐角——分錐角

分度圓錐角
分度圓錐角
分度圓錐角
分度圓錐角
分度圓錐角
分度圓錐角 