概念
圖1 齒輪各部分符號分度圓是為了便於齒輪設計和製造而選擇的一個尺寸參考。齒輪分度圓上具有標準的模數和標準的壓力角,所以取它作為齒輪各部分尺寸的計算基礎。分度圓半徑如圖1中r所示。
直徑的計算
| 分類 | 代號 | 計算公式 | 補充說明 |
| 漸開線標準圓柱齒輪 | 分度圓 | 分度圓 | 分度圓 分度圓 |
| 斜齒圓柱齒輪 | 分度圓 | 分度圓 | 分度圓 分度圓 分度圓 |
| 標準直齒錐齒輪 | 分度圓 | 分度圓 | 軸交角 分度圓 |
尺寸性質
圖2
分度圓
分度圓標準齒輪的分度圓上齒厚與齒槽寬相等( 如圖2)。
分度圓
分度圓且分度圓上相鄰兩尺對應點間的弧長,稱為分度圓齒距,即。
分度圓分度圓上的壓力角為標準值,。
模數
分度圓
分度圓
分度圓當齒輪齒數已知的時候,分度圓直徑、齒距與齒數的關係如下:
分度圓或:
分度圓
分度圓
分度圓
分度圓
分度圓
分度圓因式中有無理數,為使分度圓直徑稱為整數或簡單小數,以便計算或測量,令,稱為模數,單位是。則。
模數是及孫齒輪幾何尺寸的基本參數。模數的大小反應的齒輪的厚、薄、大小和承載能力。模數現已標準化。
變位齒輪
為了改善標準齒輪的一些不足之處,就必須突破標準齒輪的限制,對齒輪進行必要的修正,現在最為廣泛採用的是 變位修正法。
圖3 變位修正法
分度圓
分度圓
分度圓
分度圓
分度圓
分度圓如果需要製造齒數小於17,而又不產生根切現象的齒輪,可以採用減小齒頂高係數及增大壓力角的方法。但減小將使重合度減小,而增大壓力角又要使用非標準刀具。除這兩種方法以外,解決上述問題最好的方法就是在加工齒輪的時候,將齒條刀具由標準位置相對於齒坯中心向外移出一段距離稱為徑向變位量(如圖3),其中為徑向變位係數,為模數,這樣就不會發生根切現象了。這種改變刀具的相對位置來切制齒輪的方法,即所謂 變位修正法。這時,刀具的分度線與齒輪輪坯的分度圓 不再相切,這樣加工出來的齒輪由於已不再是標準齒輪,故稱其變位齒輪。
圖4 變位齒輪與標準齒輪比較變位齒輪與標準齒輪的比較見圖4。與變位齒輪分度圓相切的不再是刀具的中線,而是刀具的節線。
弦齒厚的測量
分度圓弦齒厚
圖5
分度圓
分度圓
分度圓如圖5所示,齒輪分度圓上的齒厚是弧長,不便測量;而弦長AB容易測量,該弦長以S表示,稱為 分度圓弦齒厚。在加工和測量時,以齒頂為基準,齒頂至弦AB的徑向高度稱為分度圓弦齒高。標準齒輪的和的計算公式為:
分度圓
分度圓
分度圓
分度圓
分度圓式中,,分別為模數,齒數和齒頂高係數。
測量方法
圖6 分度圓弦齒厚度的測量
圖7 公法線長度的測量
分度圓
分度圓
分度圓
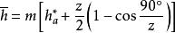
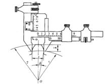
分度圓測量分度圓弦齒厚需專用測量儀器(圖6),且測量時必須以齒頂圓為基準,測量結果無疑受到齒頂圓精度的影響。因此對於>10 mm的齒輪,常常優先採用測量公法線長度的方法來檢測齒輪的加工精度。如圖7所示,使用千分尺(或精密遊標卡尺)的兩個卡腳跨過齒輪個齒,與齒廓相切於A、B兩點,兩切點間的距離AB(或AC)稱為公法線長度,用表示,單位為。
分度圓當時,標準直齒圓柱齒輪的公法線計算公式為:
分度圓式中:
分度圓——齒輪模數
分度圓——齒輪齒數
分度圓——跨齒數
分度圓
分度圓
分度圓
分度圓
分度圓當計算所得的不是整數的時候,必須四捨五入取整後方可帶入公法線計算公式中計算的值。、的值也可以從機械設計手冊中直接查得。

分度圓
分度圓
分度圓
分度圓
分度圓 