簡介
凸性不等式是凸函式滿足的不等式。
凸性不等式
凸性不等式
凸性不等式
凸性不等式
凸性不等式設f為實線性空間 X 的凸集 K 上的凸函式,即對於任何 和任何 λ>0,f滿足 逐次套用這一不等式,可以得到:對於任何 ,和任何 有
這個不等式即凸性不等式,也常稱為延森不等式。
推廣
凸性不等式
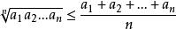
凸性不等式當 ,並且令 ,上式變為“幾何平均不大於算術平均”不等式:
凸性不等式
凸性不等式延森不等式的積分形式在套用上極為重要,設μ 是σ 代數 X 上的正測度, ,φ 關於μ 可積,f 是凸函式,則有延森不等式
凸性不等式許多著名的不等式都是延森不等式的特例。
凸函式
凸函式是數學函式的一類特徵。凸函式就是一個定義在某個向量空間的凸子集C(區間)上的實值函式。
凸函式是一個定義在某個向量空間的凸子集C(區間)上的實值函式f,而且對於凸子集C中任意兩個向量, f((x+x)/2)>=(f(x)+f(x))/2,則f(x)是定義在凸子集c中的凸函式(該定義與凸規劃中凸函式的定義是一致的,下凸)。
