定義
設z是u、v的二元函式z=f(u,v),u、v是x的一元函式u=u(x)、v=v(x),z通過中間變數u、v構成自變數x的複合函式。這種兩個中間變數、一個自變數的多元複合函式是一元函式,其導數稱為全導數。
相關定理
一一型鎖鏈法則
在中間變數只有一個時,如z=f(u,x),它在相應點有連續導數,則可得一一型全導數鎖鏈法則,即:
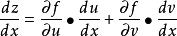
全導數二一型鎖鏈法則
設u=u(x)、v=v(x)在x可導,z=f(u,v)在相應點(u,v)有連續偏導數,則複合函式z=f(u(x),v(x))在x可導,且有:
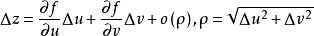
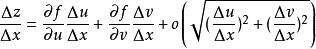
全導數證明:對於自變數x的該變數△x,變數u=u(x)、v=v(x)的改變數△u,△v,進一步有函式的該變數△z,因為函式z=f(u,v)可微,即有
全導數對上式左右兩端同除△x,得到:
全導數
全導數又因為u=u(x)、v=v(x)可導,當時,對上式左右兩端同時取極限,則有:
全導數至此,證明完畢。
三一型鎖鏈法則
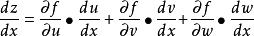
在中間變數多於兩個時,如z=f(u,v,w),而u=u(x)、v=v(x)、w=w(x),類似可得三一型全導數鎖鏈法則,即:
全導數典例
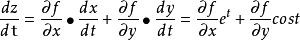
例1
全導數z=f(x,y)有連續的偏導數,,求複合函式的全導數。
解:由二一型全導數鎖鏈法則,計算得到:
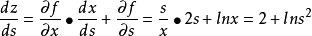
全導數例2
全導數,求複合函式的全導數。
解:外層函式顯含自變數s,由一一型全導數鎖鏈法則,計算得到:
全導數
