定義
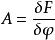
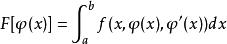
在變分法中,泛函通常表示成函式、函式導數以及自變數的積分。例如考慮泛函
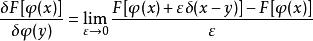
泛函導數
泛函導數
泛函導數
泛函導數
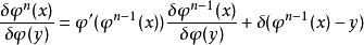
泛函導數如果函式加上一個任意小的變化,把被積函式展開成的冪級數
泛函導數則泛函的值的變化
泛函導數
泛函導數
泛函導數
泛函導數
泛函導數
泛函導數
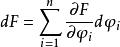
泛函導數一階項的係數就稱為泛函關於函式在點處的泛函導數,記做 。
泛函導數
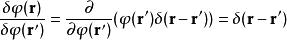
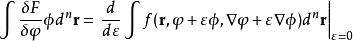
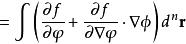
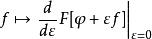
泛函導數設有流形 M代表(連續/光滑/有某些邊界條件等的)函式 φ 以及泛函 :
泛函導數
泛函導數
泛函導數則的 泛函導數,記做,是一個滿足以下條件的分布:
泛函導數對任何測量函式
泛函導數
泛函導數
泛函導數
泛函導數
泛函導數稱為的變分。是線性泛函,由里斯-馬爾可夫-角谷表示定理,這個泛函可表示成對某個測度的積分。就定義為這個測度的拉東-尼科迪姆導數。
泛函導數
泛函導數
泛函導數
泛函導數
泛函導數
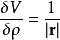
泛函導數把函式看作在處的梯度,看作在處沿方向的方嚮導數,則類似於向量微積分,梯度與某個方向向量的內積就給出了這個方向的方嚮導數。
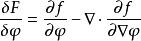
泛函微分
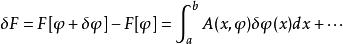
泛函導數泛函的微分就是
泛函導數
泛函導數
泛函導數
泛函導數
泛函導數用一個啟發性的觀點來看,是的改變,形式上有,則上式就和多元函式的全微分相似
泛函導數
泛函導數
泛函導數
泛函導數
泛函導數比較這兩個等式,泛函導數扮演著類似於偏微分的角色,積分變數就像是連續版本的求和指標 。
正式表述
通過更具體地定義函式空間,泛函導數的定義可以在數學上更準確、正式。例如,當函式空間是巴拿赫空間時, 泛函導數就是著名的弗雷歇導數, 而在更一般的局部凸空間上就是加托導數。注意,希爾伯特空間是巴拿赫空間的特例。更正式的處理使我們能夠將普通微積分和數學分析中的許多定理推廣為泛函分析中對應的定理,此外還能得到大量的新定理。
性質
泛函導數
泛函導數與函式的導數類似,泛函導數滿足下列的性質(其中和都是泛函):
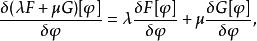
•線性:
泛函導數
泛函導數其中皆為常數。
•積法則:
泛函導數•鏈式法則:
若 F和 G為兩個泛函,則
泛函導數若當中的 G為一個普通的可導函式 g,則上式化為
泛函導數確定的泛函導數
有一類常見的泛函,能表示成一個函式及其導數的積分的形式。對於這類泛函,可以給出一個計算泛函導數的公式。
公式
對於泛函
泛函導數
泛函導數以及在積分區域的邊界上取0的函式,由之前的定義
泛函導數
泛函導數
泛函導數
泛函導數
泛函導數因為是任意的函式,由變分法基本引理,得泛函導數為
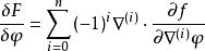
泛函導數以上泛函導數公式可以推廣到包含高階導數的情況
泛函導數
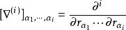
泛函導數其中是張量運算元,分量為
泛函導數則相應的泛函導數為
泛函導數例子
泛函導數
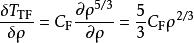
泛函導數托馬斯-費米動能泛函
被積函式不含的導數,所以泛函導數
泛函導數庫侖勢能泛函
泛函導數
泛函導數魏茨澤克動能泛函
泛函導數
泛函導數熵
連續隨機變數的熵是其機率密度函式的泛函
泛函導數
泛函導數指數
泛函導數
泛函導數這個公式在量子場論中,從配分函式來計算相關函式時特別有用。
函式的泛函導數
函式可以像泛函那樣寫成一個積分的形式
泛函導數
泛函導數
泛函導數
泛函導數從而可以把看作關於的泛函。因為這個積分不依賴於的導數,故泛函導數
泛函導數疊代函式的泛函導數
泛函導數疊代函式的泛函導數
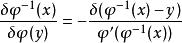
泛函導數一般情況
泛函導數
泛函導數令上式的可以解出反函式的泛函導數
泛函導數δ函式作為測量函式
泛函導數
泛函導數在物理學中,常用狄拉克δ函式,而不是一般的測試函式,來得到在點處的泛函導數(這是整個泛函導數上的一點,就像偏導數是梯度的一個分量)
泛函導數
泛函導數
泛函導數
泛函導數這在可以“在形式上”展開成的級數時是有效的。然而這個公式在數學上是不嚴密的,甚至連通常都是沒有嚴格定義的。
上面給出的定義是基於一種對所有測量函式 f都成立的關係,因此有人可能會想,它在 f是一個指定的函式(比如說狄拉克δ函式)時也應該成立。但是,δ函式不是一個合理的測量函式(甚至都不是一個真正的函式)。
泛函導數
泛函導數
泛函導數
泛函導數在定義中,泛函導數描述了整個函式發生微小變化時,泛函如何變化。其中,的變化量的具體形式沒有指明,但應該在整個定義區間上都有變化。使用δ函式形式的擾動表明函式只在點處變化,其他的點都沒有變化。
