性質
微觀解釋
從微觀上說,系統內能是構成系統的所有分子無規則運動動能、分子間相互作用勢能、分子內部以及原子核內部各種形式能量的總和。後面兩項在大多物理過程中不變,因此一般只需要考慮前兩項,二者的總和就是通常所指的內能。但在涉及電子的激發、電離的物理過程中或發生化學反應時分子內部(不包括原子核內部)的能量將大幅變化,此時內能中必須考慮分子內部的能量。核內部能量僅在核物理過程中才會變化,因此絕大多數情形下,都不需要考慮這一部分的能量。內能的絕對量(主要是其中的核內部能量部分)還不完全清楚,但不影響解決一般問題,對於內能我們常常關心的是其變化量。
函式解釋
拋開物質內部的結構細節,從巨觀上說,內能是與系統在絕熱條件下做功量相聯繫的,描述系統本身能量的一種狀態函式。內能的巨觀定義式為:ΔU=Wa,其中ΔU為內能的變化量,Wa為絕熱過程外界對系統的做功量。在巨觀定義中,內能是一個相對量。
內能是物體、系統的一種 固有屬性,即一切物體或系統都具有內能,不依賴於外界是否存在、外界是否對系統有影響。
內能是一種 廣延量(或容量性質),即其它因素不變時,內能的大小與物質的數量(物質的量或質量)成正比。
內能是系統的一種 狀態函式(簡稱態函式),即內能可以表達為系統的某些狀態參量(例如壓強、體積等)的某種特定的函式,函式的具體形式取決於具體的物質系統(具體地說,取決於 物態方程)。當系統處於某一 平衡態時,系統的一切狀態參量將取得定值,內能作為這些狀態參量的特定函式也將取得定值(儘管還不清楚它的絕對數值是多少)。
對於一定量物質構成的系統,通過 做功、 熱傳遞與外界交換能量,引起系統狀態變化,而導致內能改變,其間的關係由熱力學第一定律給出。對於不存在巨觀動能變化的系統,ΔU=W+Q,其中ΔU為內能的變化量,W為外界對系統的做功量,Q為系統(從外界)的吸熱量。該式稱為熱力學第一定律的常用表達式內能的概念建立在焦耳等人大量精密的熱功當量實驗的基礎之上。能量和內能概念的建立標誌著能量轉化與守恆定律(即熱力學第一定律)的真正確立。
正如重力對一定質量物體做功的大小與物體下降的路徑無關,僅與物體下降前後的垂直位置有關,焦耳的實驗證明系統在絕熱條件下的做功量與系統經歷的具體過程無關,僅與系統做功前後的狀態有關。從前一現象人們提出了重力勢能的概念,將過程量功表達為僅取決於高度的勢能函式在不同高度的函式值之差。類似可以定義一個僅取決於系統狀態的函式,將過程量絕熱功表為該函式在不同狀態的函式值之差。這個被定義的函式,就稱為內能。
本質解釋
當系統發生某一變化,從原先的平衡態過渡到另一個新的平衡態時,內能的變化量僅取決於變化前後的系統狀態,而與這個變化是如何發生的(例如變化的快慢)以及變化經歷了怎樣曲折的過程(例如是經歷一個等溫過程、等壓過程還是一個任意過程)完全無關。內能的這一性質和功、熱量有著本質的區別。
功和熱量都是系統與外界之間交換的能量,或者說系統(從外界)吸收或放出(給外界)的能量。一旦系統對外界做了功或傳了熱,這部分能量就不再是系統的能量(即不再是系統內能的一部分),而是變成外界物體的能量(構成外界物體內能或動能的一部分)。系統只存在或含有內能(內能的存在不依賴於外界),不存在熱量或功(離開外界和系統的相互作用,談不上熱量和功)。僅當系統在外界(外力或溫差)的作用下,系統內能中的一部分以功或熱量這兩種能量形式傳給外界(或反之)。功和熱量的大小,不僅取決於系統變化前後的狀態,還取決於變化的每一細節過程。
【注】對於巨觀動能發生變化的系統,熱力學第一定律的普遍表達式是:ΔEk+ΔU=W+Q,其中ΔEk為系統的(巨觀)動能的變化量。
分子的動能
包括分子的平動能、轉動能和振動動能(分子的振動同時具有振動勢能,一般將振動動能和振動勢能統稱為振動能)。
分 子間的相互作用勢能
固有偶極和誘導偶極該種勢能來源於分子間的引力和斥力。分子間力又稱范德華力,廣義的分子間力還包括氫鍵力等分子間特殊作用力。分子間力本質上都是電磁力,其大小、正負(即表現為引力還是斥力)由分子的偶極矩和分子間的距離所決定。由於電子的運動是隨機的,因此分子的偶極矩的大小和方向也是隨機的,從而分子間引力和斥力同時存在並不斷變化(化學鍵力本質上也是電磁力,但存在於分子內部,並且大小比分子間力大1-2個數量級)。
分子間力與分子間距的關係:一般而言,分子相距較遠時分子間主要表現為引力,隨著分子的相互接近引力增大。進一步接近時,斥力的作用開始表現出來,表現為淨的引力變小,並逐漸減小為零。繼續接近時,斥力急劇上升(引力同時也上升但上升的慢一些),分子間力表現為淨的斥力。當分子繼續相互接近時,巨大的斥力將使二者的動能消耗殆盡,全部轉為分子間的相互作用勢能,失去動能的分子在強大的斥力作用下彼此遠離(分子間勢能又轉為分子動能),這一過程就是平常說的分子相互碰撞過程。
分子間力與偶極矩的關係:極性分子具有固有偶極矩(即平均而言,分子的正負電荷中心不重合),固有偶極間的相互作用力稱為定向力,故極性分子間的作用力包括定向力部分。極性分子和非極性分子間沒有固有偶極的相互作用,故二者間不存在定向力。但非極性分子在極性分子的電場作用下,會發生所謂的誘導偶極,即原來分子的正負電荷中心平均而言是重合的。固有偶極和誘導偶極間的相互作用力稱為誘導力。極性分子間也存在著這種誘導,並且是相互誘導,因此極性分子間除了定向力還存在誘導力。那么非極性分子之間有沒有靜電力呢?當然有。雖然平均而言非極性分子的正負電荷中心重合,但在任一瞬間它們都是不完全重合的(完全重合的機率趨於零),因此非極性分子間存在著這種瞬間偶極的相互作用,這種作用力稱為 色散力。很明顯,色散力存在於任何分子之間。這三種力的相對大小隨分子結構而定,一般而言誘導力相對較小。
分子內部的能量
分子(包括一般所指的分子、原子和離子,見前文注)內部的能量主要取決於電子的能量和核內部的能量。核內部的能量僅在核物理過程中發生變化,因此在其它一切情形時,都可以認為分子內部的能量主要就是電子的能量。更準確地說包括了電子的動能,電子和核的引力勢能,電子和電子間的斥力勢能(單電子原子、離子或分子不存在該能),核與核間的斥力勢能(不存在化學鍵的孤立原子不存在該能)。一般來說電子和核的引力勢能占主導地位,這樣才能形成穩定的分子或原子。
變化途徑
(1)做功可以改變物體的內能。(如鑽木取火)
內能變化當外力對物體做正功時,物體內能增大,反之亦反。
(2)熱傳遞可以改變物體的內能。(如放置冰塊使物體降溫)
熱傳遞的三種形式:熱傳導,熱對流(一般見於氣體和液體)以及熱輻射,熱傳遞的條件是物體間必須有溫度差。
做功和熱傳遞在改變內能的效果上是等效的。做功使其他形式的能如機械能等轉化為內能;熱傳遞使物體間的內能發生轉移。
分類
分為狹義內能和廣義內能。
狹義內能
在一般的物理問題中(不涉及電子的激發電離,化學反應和核反應),內能中僅分子動能和勢能兩部分會發生改變,此時我們只關心這兩部分,而將這兩部分之和定義為內能。這是一種簡化的定義,即狹義內能。在涉及電子的激發電離,化學反應和核反應時,為不引起誤解狹義內能應嚴格稱為熱力學能(以前稱為熱能,熱能這一概念在一些工程領域內仍廣泛使用)。
廣義內能
在不涉及核反應的物理過程或化學過程中,原子核內部的能量不會改變,此時可以將內能定義為熱力學能與電子能之和。
最廣義的內能就是物體或系統內部一切微觀粒子的一切運動形式所具有的能量總和。即熱力學能、電子能與原子核內部能量之和。
理想氣體
理想氣體從微觀上看,是指分子間力和分子本身大小可忽略的氣體。巨觀上看,是指壓強趨於零的氣體。實際氣體在壓強不太大時可以近似為理想氣體,近似的程度取決於氣體的種類和壓強。例如常壓下的氫氣視為理想氣體時,將有1%左右的誤差(跟要計算的物理量有關)。
一定量理想氣體的內能僅是溫度的函式: U=U( T),該結論稱為焦耳定律。
若過程中 不涉及非體積功,理想氣體在 任意過程中,都滿足 d U= C v d T,其中 C v是理想氣體的定容熱容。一般而言, Cv仍為 T的函式,其函式形式可由實驗確定(可查有關手冊得知)。故內能函式為下列積分: U=∫ Cv dT+ U0,其中 U0表示某一選定參考態的內能(該值可以任意指定)。
要準確計算時, Cv不可提到積分號外。但在處理溫度範圍不是很寬的問題時,可將 Cv視為常量,從而有 U= Cv T+ U0。更粗略地計算,常溫下單原子分子可取 Cv=3/2 nR,雙原子分子可取 Cv=5/2 nR,其中 n為物質量, R為普適氣體常量。
均勻物質
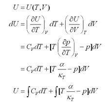
內能[熱力學及化學]一定量實際氣體或其它任何均勻物質的內能不僅取決於溫度還取決於其體積或壓強,即內能 U為 T,V或 T,p的函式。
以變數為 T,V為例,下式給出了內能的一般計算方法,式中 Cv是理想氣體的定容熱容, α為體脹係數, κT為等溫壓縮係數,不同物質的這些量可查有關手冊得到。
【註:該計算中,沒有考慮非體積功。如存在非體積功,需要根據具體情況對計算作修正】
能的形式
(1)能以多種形式存在於自然界,每一種形式的能對應於一種運動形式。
各種形式的能是可以相互轉化的。
(2)能的守恆定律
能量既不能創生,也不能消失,它只是從一種形式的能轉化為另一種形式,或者從一個物體轉移到另一個物體。
在轉化或轉移的過程中,其總量保持不變。這就是能量轉化與守恆定律,即熱力學第一定律。
概念梳理
能量組成
內能就是物體內部分子所具有的能量,包括分子運動的動能、分子之間引力斥力作用而具有的分子勢能兩個部分。
巨觀上影響內能的是物體的體積和溫度,平時我們說摩擦生熱的熱,其實指的就是轉化成物體的內能,當物體內能增大時表現形式之一就是溫度升高。
狹義的內能指分子熱運動能,也就是在一般的物理過程中可變的內能。是物體內部全部分子做熱運動時的分子動能和分子勢能的總和。
分子動能
內能物體內部由分子組成,且在永不停息地做無規則運動,所以分子具有動能。由於運動永不停息,所以內能永不為零。由於運動雜亂無章,速率有大有小,無法準確描述某一個分子運動速率,所以描述其運動快慢、動能大小時可用是否激烈等詞語,比較科學的描述是平均速率、平均動能。
溫度越高,反映了分子運動更激烈,平均動能越大。溫度是分子無規則運動激烈程度的體現。物體分子運動更激烈和物體溫度更高,是同一個意思。
分子勢能
分子勢能是分子間相互作用而產生的能量,反映在分子間作用力大小和分子距離上。當分子間作用力和分子距離發生變化時,巨觀上會發生物體物態和體積的變化。但體積變化並不顯著,我們往往考慮不多,更多時候,還是從物態去判斷分子勢能。
在物態變化時,分子勢能的變化具有一個特點——突變。例如,0℃的冰化成0℃的水,雖然溫度沒變,分子動能沒變,但由於熔化是一個吸熱過程,吸收的能量用於增加分子勢能,故此,我們說,分子勢能是增加的,內能是增加的,而溫度不變。
全部分子
不同物體間比較內能,由於還要考慮質量的因素,所以不能說溫度高的物體內能大,也不能說內能大的物體溫度高。例如一小塊燒紅的鐵釘和一座冰山,顯然冰山溫度低,但內能大。但質量大且溫度高的物體的內能一定比同狀態質量小、溫度低的物體的內能大。
![內能[熱力學及化學] 內能[熱力學及化學]](/img/6/358/nBnauM3XwgjMzYDNzITNxMDN0UTMyITNykTO0EDMwAjMwUzLyUzLyUzLt92YucmbvRWdo5Cd0FmLzE2LvoDc0RHa.jpg)
