簡介
按Andrewartha和Brich的定義(1954),內稟增長率是指具有穩定年齡結構的種群,在食物與空間不受限制,同種其它個體的密度維持在最適水平,環境中沒有天敵,並在某一特定的溫度、濕度、光照和食物性質的環境條件組配下,種群的最大瞬時增長率。內稟增長率反映了種群在理想狀態下,生物種群的擴繁能力。
計算方法
內稟增長率可以作為一個理論模型,與自然界中的實際增長率進行比較。在種群統計描述上,出生率、死亡率、年齡結構和性比等組成了單獨的種群動態參數;而內稟增長率則是綜合和上述參數的種群的另一指標,它可敏感地反映出環境的細微變化,是特定種群對於環境質量的優良反應指標;是動物生態學等學科教學和科研中常用參數。
在內稟增長率的計算上,有近似值和精確值2 種算法。
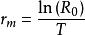
內稟增長率近似值的公式 ,反映了內稟增長率與淨生殖率(R)和世代時間(T) 的關係。
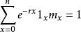
內稟增長率精確值的求法是對公式 用逐步逼近法求解,其中的r 即為rm。
相對於國外的資料,國內資料大多採用近似值的計算方法。這2 種方法求的值往往相差較大。內稟增長率的精確值已成為國際上描述種群動態普遍使用的參數。
重要性
(1)可以敏感地反應出環境的細微變化,是特定種群對於環境質量反應的一個優良指標;
(2)內稟增長率是自然現象的抽象,它能作為一個模型,可以與自然界觀察到的實際增長率進行比較。
(3)內稟增長率是動物生態學等學科教學和科研中常用參數。
所以內稟增長率最大就是1。

