相對論量子力學下的形式推導:
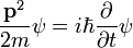
自由粒子的薛丁格方程是非相對論量子力學的最基本方程:

其中是動量算符。

薛丁格方程並非相對論協變的,意味著它不滿足愛因斯坦的狹義相對論。
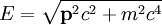
利用狹義相對論中四維動量的不變性導出的相對論動量能量關係,相對論能量

替換薛丁格方程左邊自由粒子的動能,

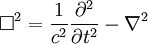
並最終得到它的協變形式

其中,達朗貝爾算符

從相對論量子力學的觀點來看,達朗貝爾算符的出現意味著克萊因—高登方程是一個量子力學的波方程。






曾經有一個時期認為狄喇克方程是惟一正確的相對論量子力學方程。 以上所涉及的相對論量子力學方程僅限於描述一個粒子。
單粒子與多粒子體系的相對論量子力學方程 正文 配圖 相關連線《上帝擲骰子嗎》 摘要 愛因斯坦:「一個人的價值,應該看他貢獻了什麼,而不是他取得了什麼。」 愛因斯坦說:「我不相信上帝是靠擲骰...
《上帝擲骰子嗎》 序 第一章 黃金時代 第二章 烏雲 第三章 火流星的規律,就需要找出波函式所滿足的運動方程。這個方程是薛丁格在1926年首先...認識,找到了微觀體系的運動方程,從而建立起波動力學,其後不久還證明了...的概念,運動方程、理論概念和觀測物理量之間的對應規則和物理原理...
簡介 發展簡史 基本內容 具體套用 歷史背景-高登方程為 克萊因-高登方程 其中 注釋 , 達朗貝爾算符 達朗貝爾... + m^2c^4, 因而從克萊因-高登方程得出的能量本徵值為 本徵值 也就是說從克萊因-高登方程出發能夠得到具有負值能譜的粒子,同時從這個負值...
概述 成果 詳細內容 起源 狄拉克之海的缺陷古為今用,振興民族文化的典範。2、數學史的文化意義美國數學史家M.克萊因曾經...的日本學者也都有多卷本數學通史出版。1972年美國M.克萊因所著《古今數學...德國數學家(C.)F.克萊因著的《19世紀數學發展史講義》(1926...
歷史介紹 研究範圍 研究內容 發展階段 重要意義:“原先,我只對完全正確的方程感興趣。然而我所接受的工程訓練教導我要容許...博士學位。同時埃爾溫·薛丁格以物質波的波方程提出了自己的量子理論。狄拉克...。他與彼得·卡皮查嘗試開發用離心機將氣體混合物分離的方法,但其實驗後來因卡...
家庭背景 人物生平 主要成就 學術研究 家庭情況聲稱工程教育對他影響深遠:“原先,我只對完全正確的方程感興趣。然而我所...也憑藉這項工作獲得博士學位。同時埃爾溫·薛丁格以物質波的波方程提出了自己...開發用離心機將氣體混合物分離的方法,但其實驗後來因卡皮查受困俄國而停擺...
家庭背景 人物生平 主要成就 人物專著 學術研究方程求正根的問題。 628年,印度的婆羅摩笈多研究了定方程和不定方程、四邊形、圓周率、梯形和序列。給出了方程ax+by=c(a,b,c是整數...在《黃帝九章算術細草》中,創造了開任意高次冪的“增乘開方法”,並列出了...
簡單地說:0維是點,沒有長、寬、高。一維是由無數的點組成的一條線,只有長度,沒有寬、高。二維是由無數的線組成的面,有長、寬沒有高。三維是由無數的面組成的體,有長寬高。維可以理解成方向。因為人的眼睛只能看到二維,所以...
四維空間 軸對稱性 概念 解析 零維到四維