簡介
光束直徑是沿垂直於光束軸線並與其相交的指定線的直徑。由於光束通常不具有確定的邊緣,所以直徑可以以許多不同的方式來定義。光束直徑可以在垂直於光束軸的特定平面上以長度為單位進行測量。
光束直徑通常用於表征光學狀態下的電磁光束,有時在微波狀態下,即光束出射的孔徑相對於波長非常大。
光束直徑通常是指圓形橫截面的光束,但也有特例。例如具有橢圓形橫截面,在這種情況下,必須指定光束直徑的方向,例如相對於橢圓形橫截面的主軸或短軸。在光束不具有圓形對稱性的套用中,術語“光束寬度”可能是優選的。
測量方法
朗琴尺法
光束直徑如果朗琴尺是由遮光和透光的線條組成,通過測定由尺掃過光束截而得到的透過輻射調製度,就可獲得高斯 光束直徑。可以證明。 處光束直徑d由下式給出:
光束直徑
光束直徑
光束直徑
光束直徑
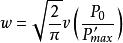
光束直徑式中, 是最小傳輸功率 和最大傳輸功率 之比值,W是線寬。只要 就可使此 結果精確到1% 左右。將這種技術用於反射情況時,要獲得遮光和透光的線條是很困難的。這樣,考慮其效用,將 (1)式變為:
光束直徑
光束直徑式中,RS是間隙的反射率;RE是線條的反射率; 是測得的調製度。應注意,由於RE和RS作為比值出現,所以沒必要測量其絕對值。
光束直徑
光束直徑圖1是用於本工作的柵尺示意圖。此尺由寬為10μm的兩個線條、寬為1μm的十個線條和寬為10μm的兩個線 條構 成。里一個圖是反射光的合成信號和測量值。使用這種尺的優點是,可以同時在同一個示波器的蹤跡上測量 RS、RE、 、 ,(假定大線條的反射率與小線條的反射率一樣)。用(2)式和圖2所示的測量值能夠得 到光束直徑為1.33μm左右。
圖1.用於測量光束直徑的柵尺示意圖Arnaud等人的刀口法
文獻2描述了Arnaud等人提出的用於全反射界刃和全透過間隙的刀口技術。所得結果如下:
光束直徑
光束直徑式中, 是反射信號導數的最 大值。此外,對非理想下的界刃和間隙,上式必須修正。推導非理想結果的過程可直接從文獻(2)和 上述推演中得到。對反射率RE的界刃和反射率RS的間隙,其半徑可由下式給出:
光束直徑
光束直徑因為我們測量的是,所以圖2表明的測量過程可用於偏移信號。如上所述,不必知道RS、RE或他們的比值。圖3是圖2信號的導數。這項工作是在一台數字式示波器上完成的。用這些測量值和v值,可以測定約為1.24μm的光束直徑。
圖2.非理想情況下的刀口掃描
圖3.刀口掃描的導數