基本原理
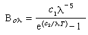
根據普朗克公式,物體的單色輻射亮度與溫度的函式關係為:
函式關係式中c1和c2分別為第一和第二輻射常數;λ為單色輻射波長;T為物體的溫度。根據這一公式可知,波長選定以後,物體的單色輻射亮度只隨其溫度而變。工業中套用較廣的光學高溫計就是根據這一原理製成的。
亮度的測量採用平衡法,即依靠人眼比較被測對象與一定溫度的燈泡的亮度來確定被測對象的溫度。通過調整燈絲電流,使燈絲在背景光的亮度下隱去,此時流過燈絲的電流就可作為測量的依據,可使燈絲的隱沒電流與溫度刻度相對應。在波長為λ的單色光輻射中,當溫度為T的物體的亮度與溫度為Ts的黑體的亮度相同時,黑體的溫度Ts就稱為該物體的亮度溫度。實際物體的真實溫度大於亮度溫度,應採用修正方法改善被測對象的黑體輻射條件或測定光譜發射率ελ來求出真實溫度。這種隱絲式光學高溫計的特點是結構簡單,使用方便,量程較寬,有較高的精度,一般用來測量700~3200℃範圍澆鑄、軋鋼、鍛壓、熱處理和玻璃熔融時的溫度。但因靠人眼來進行比較和判斷仍容易產生觀測誤差,而且儀表只有指示功能而不能自動記錄。隱絲式光學高溫計分為精密光學高溫計和工業用光學高溫計(見圖)。為了克服隱絲式光學高溫計的缺點,又在這種儀器的基礎上發展了光電式高溫計。它用光電敏感元件代替人眼判斷輻射源和燈絲亮度的變化,並自動平衡亮度,可進行自動的連續測量。
實驗測量
實驗圖示圖中物鏡將被測物體成象於高溫計內參比燈的燈絲所在平面上。燈絲通電後發出一定的亮度,測溫者通過目鏡和紅色濾光片觀察燈絲與被測物體的單色輻射亮度,如亮度不同(圖中a、c),即調節滑線電阻改變燈絲亮度,使燈絲與背景亮度相等(圖中b)。這時的燈絲電流即代表被測溫度。
光學高溫計的測量範圍為700~3200℃,精確度為±1%。實驗室用的光學高溫計精確度可達±0.05%。還有一種利用光電元件來比較燈絲與被測物體單色輻射能的自動單色光電高溫計,由於不用人來比較亮度,可減少人為誤差。這種儀表主要供實驗室中精密測量和作為標準之用。

