偏態
偏態(skewness)是指非對稱分布的偏斜狀態。換句話說,就是指統計總體當中的變數值分別落在眾數(M0)的左右兩邊,呈非對稱性分布。偏態於1895年由統計學家皮爾遜(K.Pearson)首次提出,是對數據分布對稱性的測度。測度偏態的統計量是偏態係數(coefficient of skewness),記作SK,也叫偏差係數。
釋義
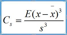
表示變數機率分布對稱性和分布方向的相對指標,也稱偏態係數,代表符號為Cs,計算公式:
偏差係數式中為均值,fx (x)為機率密度函式,C為離差係數。C>0表示大於均值的各項值占優勢,稱為正偏;C<0表示小於均值的各項占優勢,稱為負偏;Cs=0表示大於和小於均值的各值都不偏。稱為對稱。
偏差係數測定法
主要有皮爾遜偏態係數測定法和中心距偏態係數測定法兩種。
在spss的Descriptives描述中有峰度係數和偏度係數, Sk=0,Ku=3時,分布呈正態,Sk>0時,分布呈正偏態,Sk<0時,分布呈負偏態,Ku>3時曲線比較陡峭,Ku<3時曲線比較平坦。由此可判斷本數據分布是否為常態分配。
影響
上述3種情況對機率密度曲線和機率分布曲線的影響見圖。
偏差係數
偏差係數中國特點
中國水文變數的Cs/Cv的變化,年徑流在2.0左右;洪水在2.5~6.0之間;暴雨在3.5左右。
套用
偏差係數是根據眾數、中位數與均值各自的性質,通過比較眾數或中位數與均值來衡量偏斜度的。
相關概念
差係數: 標準差與變數及 期望值的大小有關,項目比較時,若某一項目的期望值及標準差均比其他項目大,不能簡單地認為標準差大的項目風險就一定大,還應進一步用兩者的 相對指標進行分析和比較,該相對指標即偏差係數。

