簡介
二級相變( Second order phase transition)為化學勢的二階偏微分發生突變的一類相變。相變時沒有熱效應和熵變,但熱膨脹係數,壓縮係數,比熱容這三個化學勢的二階偏微分量發生突變。
二級相變或稱為‘二階相變’或是‘連續性相變’,主要原因是,自由能(或是其他有序參數,例如磁化強度)對溫度(或其他參數,例如磁場)的變化率(一次偏微分值函式)曲線,仍然保持連續,沒有突然變化。然而前述的自由能若對溫度取到二次偏微分,其值與比熱(specific heat)成正比,其函式曲線有可能在特定溫度值,產生髮散(divergence);換言之,舉例而言,經過特定溫度值時,自由能對於溫度的二次變化率,數值有突然改變時,也屬於發生相變。此處特定溫度值,即為二階相變發生的溫度值,稱為二階相變臨界溫度。
定義
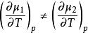
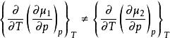
普通的相變(稱一級相變)中的兩相平衡時,兩物態(例如氣態和液態)的化學勢相等,但兩物態的偏摩爾體積和偏摩爾熵發生突變:
二級相變即
二級相變
二級相變即
二級相變同時還有焓值H≠H;熱容C≠C。故在一級相變時有焓變,熵變,自由能的變化。而發生二級相變時,既沒有焓變,也沒有熵變。但物質的比熱容C,熱膨脹係數α和壓縮係數κ會發生改變:
二級相變即
二級相變
二級相變即
二級相變埃倫費斯特把這種相變稱為二級相變。
實例
液氦的λ相變
氦-4的正常沸點是4.2K,減壓下沸點下降。但當其沸點降至 2.17 K (−270.98°C) 時,沸騰突然停止。測定其物理性質,壓縮係數,熱膨脹係數和比熱容發生突變,但沒有焓變和體積的變化。
超導金屬
某些金屬具有一轉變溫度T,低於此溫度時電阻突然消失。T與磁場有關,無加外磁場時這種轉變沒有熱效應,是二級相變。
磁性轉變點
鐵磁性物質加熱到某一溫度時,磁疇被破壞,轉變為順磁性物質。這一磁性轉變點稱為居里點,此溫度稱為居里溫度,此轉變是二級相變。
合金的有序-無序相變
有序的合金晶胞中的原子代表不同的原子,而無序則代表混合原子。例如β-黃銅為體心立方晶胞,銅原子位於晶胞體心,鋅原子位於晶胞角頂。溫度升高至某一數值T時,這種規則的排列完全被破壞,兩種原子出現在體心或角頂的機率一樣,合金變為無序,此轉變也屬於二級相變。

