成份
乙醯螺旋黴素片本品為單乙醯螺旋黴素Ⅱ、單乙醯螺旋黴素Ⅲ、雙乙醯螺旋黴素Ⅱ和雙乙醯螺旋黴素Ⅲ四個組分為主的混合物。
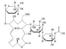
化學結構式:
單乙醯螺旋黴素Ⅱ:R=COCHR=H
單乙醯螺旋黴素Ⅲ:R=COCHCHR=H
雙乙醯螺旋黴素Ⅱ:R=COCHR=COCH
雙乙醯螺旋黴素Ⅲ:R=COCHCHR=COCH
性狀
本品為糖衣片,除去包衣後,顯類白色或微黃色;味苦。
適應症
適用於敏感葡萄球菌、鏈球菌屬和肺炎鏈球菌所致的輕、中度感染,如咽炎、扁桃體炎、鼻竇炎、中耳炎、牙周炎、急性支氣管炎、慢性支氣管炎急性發作、肺炎、非淋菌性尿道炎、皮膚軟組織感染,亦可用於隱孢子蟲病、或作為治療妊娠期婦女弓形體病的選用藥物。
規格
0.2g(20萬單位)
用法用量
成人劑量:一次0.2~0.3g,一日4次,首次加倍。
小兒劑量:每一日按體重20~30mg/kg,分4次服用。
不良反應
病人對本品耐受性良好,不良反應主要為腹痛、噁心、嘔吐等胃腸道反應,常發生於大劑量用藥時,程度大多輕微,停藥後可自行消失。變態反應極少,主要為藥疹。未發現肝、腎功能損害及血、尿常規異常。
禁忌
對本品、紅黴素及其他大環內酯類過敏的患者禁用。
注意事項
1、由於肝膽系統是乙醯螺旋黴素排泄的主要途徑,故嚴重肝功能不全患者慎用本品。
2、輕度腎功能不全患者不需作劑量調整,但乙醯螺旋毒素在嚴重腎功能不全患者中的使用尚缺乏資料,故應慎用。
3、如有過敏反應,立即停藥。
孕婦及哺乳期婦女用藥
本品可透入胎盤,故在孕婦中套用需充分權衡利弊後決定是否套用。尚無資料顯示乙醯螺旋黴素是否經乳汁排泄,但由於許多大環內酯類藥物可經乳汁排泄,故哺乳期婦女宜慎用本品,如必須套用時應暫停哺乳。
兒童用藥
6個月以內小兒患者的療效及安全性尚未確定。
老年用藥
肝、腎功能正常的老年患者不需減量套用。
藥物相互作用
1、本品不影響氨茶鹼等藥物的體內代謝。
2、在接受麥角衍生物類藥物的患者中,同時使用某些大環內酯類曾出現麥角中毒,目前尚無麥角與乙醯螺旋黴素相互作用的報導,但理論上仍存在這一可能性,因此乙醯螺旋黴素與麥角不宜同時服用。
藥理毒理
乙醯螺旋黴素為螺旋黴素的乙醯化衍生物,屬16元環大環內酯類。本品對金黃色葡萄球菌、肺炎鏈球菌、化膿性鏈球菌、糞腸球菌等革蘭陽性球菌具良好抗菌作用。對李斯特菌屬、卡他莫拉菌、淋病奈瑟菌、胎兒彎曲菌、流感嗜血桿菌、嗜肺軍團菌、百日咳桿菌、擬桿菌屬、產氣莢膜桿菌、痤嗆丙酸桿菌、消化球菌和消化鏈球菌以及衣原體屬、支原體屬、弓形體、隱孢子蟲等亦具抑制作用。腸道革蘭陰性桿菌通常耐藥。
作用機制為乙醯螺旋黴素與敏感微生物的核糖體50S亞單位結合,抑制依賴於RNA的蛋白質合成而發揮抑菌作用。
藥代動力學
本品耐酸,口服吸收好,經胃腸道吸收後脫乙醯基轉變為螺旋黴素而起抗菌作用。單劑口服0.2g後2小時達血藥峰濃度(Cmax)1mg/L。本品在體內分布廣泛,在膽汁、尿液、膿液、支氣管分泌物、肺組織及前列腺中的濃度一般較血濃度高,本品不能透過血-腦脊液屏障。平均血消除半衰期(t)約為4-8小時。多次給藥後體內有蓄積作用。本品主要經糞便排泄,12小時經尿排泄量約為給藥量的5%-15%,其中大部分為代謝產物,膽汁中濃度可達血濃度的15-40倍。
貯藏
密封,在涼暗(避光並不超過20℃)乾燥處保存。
包裝
藥用PTP鋁箔、PVC硬片泡罩包裝,
(1)每板10片、每盒1板 (2)每板12片、每盒1板
有效期
24個月
執行標準
《中國藥典》2005年版二部
生活中常見的西藥
| 西藥即為有機化學藥品,無機化學藥品和生物製品 看其說明書則有化學名,結構式,劑量上比中藥精確,通常以毫克計。 |

