化合物簡介
基本信息
中文名稱:乙醯螺旋黴素
中文別名:醋酸螺旋黴素
英文名稱:spiramycin II
英文別名:Acetylspiramycin; Acetyl Spiramycin;
CAS號:24916-51-6
分子式:CHNO
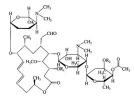
乙醯螺旋黴素結構式:
分子量:885.08900
精確質量:884.52500
PSA:201.45000
LogP:2.89590
物化性質
外觀與性狀:白色粉末
密度:1.21 g/cm
熔點:130-133ºC
沸點:916.7ºC at 760 mmHg
閃點:508.2ºC
折射率:1.543
蒸汽壓:0mmHg at 25°C
用途
用於呼吸系統感染、膿皮病、猩紅熱等 。
藥典標準
乙醯螺旋黴素
YixianLuoxuanmeisu
Acetylspiramycin
單乙醯螺旋黴素Ⅱ:R=COCH R=H
單乙醯螺旋黴素Ⅲ:R=COCHCH R=H
雙乙醯螺旋黴素Ⅱ:R=COCH R= COCH
雙乙醯螺旋黴素Ⅲ:R=COCHCH R=COCH
性狀
本品為白色至微黃色粉末;味苦 。
本品在甲醇、乙醇、丙酮或乙醚中溶解,在水中幾乎不溶,在石油醚中不溶。
鑑別
(1)取本品和乙醯螺旋黴素標準品,分別加甲醇製成每lml中含5mg的溶液,作為供試品溶液與標準品溶液。照薄層色譜法(附錄V B)試驗,吸取上述兩種溶液各10μ1,分別點於同一薄層板上(取矽膠G 0.6g,加0.lmol/L氫氧化鈉溶液2.5ml,研磨成糊狀,攪勻後,塗布在500px×125px玻璃板上,晾乾後,置105℃活化30分鐘),以甲苯-甲醇(9 :1)為展開劑,展開後,晾乾,置碘蒸氣中顯色。供試品溶液所顯的四個主斑點的位置和顏色應與標準品溶液的四個主斑點的位置和顏色相同 。
(2)在乙醯螺旋黴素組分測定項下記錄的色譜圖中,供試品溶液四個主組分峰的保留時間應與乙醯螺旋黴素標準品溶液的四個主組分峰的保留時間一致。
以上(1)、(2)兩項可選做一項。
檢查
乾燥失重 取本品,在105℃乾燥至恆重,減失重量不得過3.0%(附錄Ⅷ L 。
乙醯螺旋黴素組分測定 照高效液相色譜法(附錄V D)測定 。
色譜條件與系統適用性試驗 用十八烷基矽烷鍵合矽膠為填充劑;以乙腈-0.lmol/L醋酸銨溶液(60:40)(用醋酸調節pH值至7.2士0.1)為流動相;檢測波長為232nm。取標準品溶液10ml,注入液相色譜儀,記錄的色譜圖應與標準圖譜一致。
測定法 取本品適量,精密稱定,加流動相溶解並定量稀釋製成每lml中約含lmg的溶液,精密量取10μ1注入液相色譜儀,記錄色譜圖,乙醯螺旋黴素各組分的出峰順序依次為:單乙醯螺旋黴素Ⅱ、單乙醯螺旋黴素Ⅲ、雙乙醯螺旋黴素Ⅱ和雙乙醯螺旋黴素Ⅲ。量取峰面積,按下式計箅,含單、雙乙醯螺旋黴素(Ⅱ+Ⅲ)均應不得少於35%。
單乙醯螺旋黴素(Ⅱ+Ⅲ)含量%=(A+ A)÷(A+ A+A+A)×100%
雙乙醯螺旋黴素(Ⅱ+Ⅲ)含量%=(A+ A)÷(A+ A+A+A)×100%
式中 A為單乙醯螺旋黴素Ⅱ的峰面積;
A為單乙醯螺旋黴素Ⅲ的峰面積;
A為雙乙醯螺旋黴素II的峰面積;
A為雙乙醯螺旋黴素Ⅲ的峰面積。
另取乙醯螺旋黴素標準品適量,同法測定,按外標法以峰面積計算出乙醯螺旋黴素四個組分的總含量,應不得少於75% 。
乙醯螺旋黴素四個組分總含%=(AWP)÷(WW)×100%
式中 A為供試品色譜圖中乙醯螺旋黴素四個組分峰的總面積;
As為標準品色譜圖中乙醯螺旋黴素四個組分峰的總面積;
W為供試品的重量;
Ws為標準品的重量;
P為標準品四個組分的百分含量總和 。
含量測定
精密稱取本品適量,加乙醇使溶解(每5mg加乙醇2ml),用滅菌水定量製成每lml中約含1000單位的溶液,照抗生素微生物檢定法(附錄Ⅺ A)管碟法或濁度法測定 。
類別
大環內酯類抗生素 。
貯藏
密封,在涼暗乾燥處保存 。
製劑
(1)乙醯螺旋黴素片(2)乙醯螺旋黴素膠囊
測定方法
化學分析法
綜述
乙醯螺旋黴素片的台量測定.通常採用微生物法,其操作繁瑣費時,難以滿足生產的需要,根據文獻,螺旋黴素在被長232mn處有紫外最大吸收。故採用紫外分光光度測定乙醯螺旋黴素的含量.並對其測定條件進行了考察。與生物法進行對照,結果滿意。本法操作簡便、快速,可作為藥廠對螺旋黴素片劑及其中間質量監測的參考。
儀器、藥品及試劑
紫外分光光度計;日本島津UV-2l0l型
乙醯螺旋黴素對照品;湖南嶽陽市藥品檢驗所
乙醯螺旋黴素片及中間體哈爾濱中藥三廠
甲醇為分析純
磷酸鹽緩衝液:嵌據中國藥典附錄配製。
測定條件的選擇
乙醯螺旋黴素乙醯螺旋黴素的紫外吸收光譜:稱取乙醯螺旋黴素適量,用甲醇溶解,並用蒸餾水製成濃度為10μg/ml的溶液,以蒸餾水為空白,在μV-2lO1紫外分光光度計上自動掃描(波長為200~300nm)在波長232nm波長處有最大吸收。
濃度與吸收度的關係:精密稱取乙醯螺旋霉標準品適量,用甲醇溶解,以蒸餾水配製成濃度為5、7、10、13、15、18、20μg/ml,於232nm處測定吸收度結果發現在5一l8μg/ml範圍內與吸收度呈線性關係,線性方程為:A=0.001323+0.0305×C,相關係數R=0.9993。
空白藏與吸收度的關係:精密稱取乙醯螺旋黴素標準品三等份,用甲醇溶解,分別用蒸餾水,7.8的磷酸鹽緩衝液,甲醇製成l0μg/ml溶渡,測定吸收度。由此可以看出空白液對暖收度的影響不大。本實驗選用蒸餾水作為稀釋空白藏。
片劑的含量測定
取該品1O片精密稱重,研細後精密稱取適量(約相當於螺旋黴素0.1g)用20ml甲醇分次溶解洗攝至lOOml容量瓶中,用蒸餾水稀釋至刻度.以蒸餾水為空白在232nm處測定吸收度,根據標準曲線計算含量,即得。
回收實驗
精密稱取乙醯螺旋黴素三份,分別按處方加入糊精,硬脂酸鎂等輔料適量,混合均勻,依法測得回收率平均值為98.98%,變異係數為0.27%。
5紫外分光光度法與生測法的比較
取同一批號螺旋黴素片,用兩種方法分別測定。
討論
1、本實驗結果表明己醯螺旋黴素在各種濃度中.其最大吸收均在波長232nm左右,且在5~18μg/ml濃度範圍內吸收度與濃度呈線性關係。
2、由於對照品及其效價的差別,不同對照品所得曲線稍有差別,故每批生產時都應作標準曲線。
3、本法經數次對照,可用於藥廠,對螺旋霉索片生產時進行中間體含量控制。
4、樣品用甲醇溶解後,採用哪種稀釋液,筆者經多次實驗,用7.8磷酸鹽緩衝液測得結果偏高,用甲醇或蒸餾水結果接近,從經濟等方面考慮,本實驗選擇用蒸餾水。
微生物檢定法
方法名稱:
乙醯螺旋黴素原料藥—乙醯螺旋黴素的測定—抗生素微生物檢定法
套用範圍:
該方法採用抗生素微生物檢定法測定乙醯螺旋黴素原料藥中乙醯螺旋黴素的含量。
該方法適用於乙醯螺旋黴素原料藥。
方法原理:
供試品經乙醇溶解後,加滅菌水製成每1mL約含1000單位的溶液,按抗生素微生物檢定法測定。
試劑:
1. 乙醇
2. 滅菌水
3. 枯草芽孢桿菌懸液
4. 培養基Ⅱ
儀器設備:
試樣製備:
1.枯草芽孢桿菌懸液
取枯草芽孢桿菌[CMCC(B)63 501]的營養瓊脂斜面培養物,接種於盛有營養瓊脂培養基的培養瓶中,在35~37培養7日,用革蘭染色法塗片鏡檢,應有芽孢85%以上。用滅菌水將芽孢洗下,在65℃加熱30分鐘,備用。
2.培養基Ⅱ
混合腖6g,牛肉浸出粉1.5g,酵母浸出粉6g及水1000mL,調節pH使比最終pH略高0.2~0.4,加入瓊脂15~20g,加熱溶化後濾過,加葡萄糖1g溶解後,搖勻,調節pH值使滅菌後為8.0~8.2,在115℃滅菌30分鐘。
3.供試品溶液的製備
精密稱取供試品適量,加乙醇使溶解(每5mg加乙醇2mL),加滅菌水製成每1mL約含1000單位的溶液,即得供試品溶液。
註:“精密稱取”系指稱取重量應準確至稱取重量的千分之一。“精密量取”系指量取體積的準確度應符合國家標準中對該體積移液管的精度要求
操作步驟:
取供試品溶液照抗生素微生物檢定法測定 。
藥物說明
藥理作用
抗螺旋霉螺旋黴素(Spiramycin)是從Streptomyces ambofaciens的培養液中獲得的一種大環內酯類抗生素。乙醯螺旋黴素為螺旋黴素的醋酸酯,口服後去乙醯基而顯示較強抗菌作用。乙醯螺旋黴素是一種很強的抑菌劑,僅在很高的濃度時才呈殺菌作用。其抗菌作用機制與紅黴素相同,通過與細菌核糖核蛋白體的50S亞單位結合,阻礙肽鏈的延長,影響細菌蛋白合成而達到抑菌作用。乙醯螺旋黴素抗菌活性與螺旋黴素相似,但體外活性比螺旋黴素弱。乙醯螺旋黴素抗菌譜與紅黴素近似,抗菌作用強度不及紅黴素,口服生物利用度也比紅黴素低,但很多耐紅黴素的金黃色葡萄球菌對乙醯螺旋黴素敏感。此外,乙醯螺旋黴素比紅黴素有更好的抗生素後效應。細菌對乙醯螺旋黴素和紅黴素呈部分交叉耐藥。乙醯螺旋黴素對金黃色葡萄球菌、溶血性鏈球菌、肺炎球菌、白喉桿菌、炭疽桿菌和梭菌屬等有較強的抗菌活性;此外,乙醯螺旋黴素對李斯特菌屬、卡他布蘭漢菌、淋球菌、胎兒彎曲菌、流感桿菌、百日咳桿菌、類桿菌屬、產氣莢膜桿菌、痤瘡丙酸桿菌、消化球菌和消化鏈球菌以及支原體、衣原體、梅毒螺旋體、弓形體、隱孢子蟲等也有較強的作用 。
藥代動力學
乙醯螺旋霉乙醯螺旋黴素口服受胃酸影響較輕,約40%被吸收。口服乙醯螺旋黴素100mg、200mg,於2h達血藥濃度峰值,分別為0.8mg/L、1mg/L。藥物吸收後分布廣泛。在尿液、膿液、支氣管分泌物及肺組織中的濃度比血藥濃度高,並且,當血藥濃度降至最低時,組織中仍有較高藥物濃度。藥物在體內以肺、肝、膽汁中濃度較高(膽汁中濃度可達血清濃度的7~10倍)。乙醯螺旋黴素可滲透到巨噬細胞內,也可透過胎盤屏障及血-腦脊液屏障,在腦膜炎時腦脊液中濃度為血藥濃度的65%。藥物吸收後首先在肝臟代謝成為螺旋黴素。乙醯螺旋黴素半衰期較紅黴素和螺旋黴素長,多次用藥後在體內有蓄積作用。
適應症
適用於葡萄球菌、化膿性鏈球菌、肺炎鏈球菌、腦膜炎球菌、淋球菌、白喉桿菌、支原體、梅毒螺旋體等敏感菌所致的扁桃體炎、支氣管炎、肺炎、咽炎、中耳炎、皮膚和軟組織感染、乳腺炎、膽囊炎、猩紅熱、牙科和眼科感染等。臨床上主要用於金黃色葡萄球菌、鏈球菌、肺炎桿菌、大腸桿菌、淋球菌所致的感染,如肺炎、支氣管炎、肺膿腫、猩紅熱、骨髓炎、尿道炎、乳腺炎、麥粒腫和淚囊炎等 。
禁忌症
對乙醯螺旋黴素及其他大環內酯類藥過敏者
注意事項
1.交叉過敏:對一種大環內酯類藥過敏者,對其他大環內酯類藥也可能過敏。
2.慎用:(1)孕婦;(2)哺乳期婦女;(3)肝功能不全者。
3.藥物對檢驗值或診斷的影響:少數患者用藥後可出現血清鹼性磷酸酶、膽紅素、丙氨酸氨基轉移酶和天門冬氨酸氨基轉移酶的測定值升 高。
用法用量
1.成人:每天0.8~1.2g,分3~4次服;重症每天可用至1.6~2g。
2.兒童:每天量為20~30mg/kg,分2~4次給藥。
孕婦及哺乳期婦女用藥
該品可透入胎盤,故在孕婦中套用需充分權衡利弊後決定是否套用。尚無資料顯示乙
乙醯螺旋黴素醯螺旋黴素是否經乳汁排泄,但由於許多大環內酯類藥物可經乳汁排泄,故哺乳期婦女宜慎用該品,如必須套用時應暫停哺乳。
不良反應
1.胃腸道反應較紅黴素輕,主要有噁心、嘔吐、口乾和食慾減退等。常發生於大劑量用藥時,停藥後症狀消失。
2.偶有皮疹、藥疹等過敏反應。
3.偶有頭暈、頭痛、嗜睡、乏力症狀。
4.偶有肝功能異常(氨基轉移酶暫時性升高)的報導 。
藥物的相互作用
1.與甲硝唑同用,在體外試驗中對脆弱擬桿菌有協同抗菌作用。
2.與甲氧苄苄啶同用對嗜血性流感桿菌有協同抗菌作用。
3.與細胞色素P450系代謝藥合用可升高血清中卡馬西平、特非那定、環己巴比妥、苯妥英鈉的濃度。
4.與左旋多巴/卡比多/卡比多巴聯合給藥時,可使左旋多巴藥物時間濃度曲線下面積(AUC)減低。
中毒
乙醯螺旋黴素是由螺旋黴素乙醯化而製得,抗菌譜與紅黴素相似,在體內轉化為螺旋黴素而發揮抗菌效應。口服吸收有改善,性質穩定。可飯後服用,消化道不良反應低。成人常用量0.2g,4/d。出現不良反應,可對症治療 。
生產企業
山東仁和製藥有限公司、山東健康藥業有限公司、河南天方藥業股份有限公司、瀋陽市良苑製藥廠、四川迪康科技藥業股份有限公司、海南海藥實業股份有限公司、陝西神克製藥有限公司、安徽豐原藥業股份有限公司、雲南蠻龍藥業有限公司、廣州白雲山製藥總廠、東北製藥集團公司瀋陽第一製藥廠、江西匯仁藥業有限公司、廣西盈康藥業有限責任公司、河南省新鄉同心製藥廠、尼克美製藥有限公司、廣東省彼迪藥業有限公司、山東新華製藥股份有限公司、丹東醫創藥業有限責任公司、浙江震元股份有限公司、廣東南國藥業有限公司、湖北中天愛百顆藥業有限公司、張家口市製藥集團公司、唐山天恩藥業有限公司、合肥製藥廠等。
專家點評
乙醯螺旋黴素口服後,在體內顯示較強的抗菌活性,並很快分布到組織和體液中,膽汁中濃度最高,為血中濃度的7~10倍,且有一定量透過血-腦脊液屏障,尤其是腦膜炎時腦脊液中濃度更高。據報導治療孕期與育齡婦女弓形蟲感染及對宮內傳播的影響,結果顯示,孕婦與育齡婦女弓形蟲近期感染率為11.61%和7.81%,治療組孕婦和育齡婦女IgM轉陰率分別為67.16%和70.49%,而非治療組的自然轉陰率分別為14.29%和13.64%;治療組宮內傳播率為7.46%,非治療組為21.05%,差異非常顯著。乙醯螺旋黴素是治療弓形蟲感染的安全有效的藥物,可明顯降低宮內傳播率 。
膠囊製劑
【藥品名稱】
通用名:乙醯螺旋黴素膠囊
曾用名:
商品名:
英文名:Acetylspiramycin Capsules
漢語拼音:Yixiɑn Luoxuɑnmeisu Jiɑonɑnɡ
本品為單乙醯螺旋黴素Ⅱ、單乙醯螺旋黴素Ⅲ、雙乙醯螺旋黴素Ⅱ和雙乙醯螺旋黴素Ⅲ四個組分為主的混合物。
結構式:
【性狀】
本品為膠囊劑。
【藥理毒理】
乙醯螺旋黴素為螺旋黴素的乙醯化衍生物,屬16元環大環內酯類。本品對金黃色葡萄球菌、肺炎鏈球菌、化膿性鏈球菌、糞腸球菌等革蘭陽性球菌具良好抗菌作用。對李斯特菌屬、卡他莫拉菌、淋病奈瑟菌、胎兒彎曲菌、流感嗜血桿菌、嗜肺軍團菌、百日咳桿菌、擬桿菌屬、產氣莢膜桿菌、痤瘡丙酸桿菌、消化球菌和消化鏈球菌以及衣原體屬、支原體屬、弓形體、隱孢子蟲等亦具抑制作用。腸道革蘭陰性桿菌通常耐藥。
作用機制為乙醯螺旋黴素與敏感微生物的核糖體50S亞單位結合,抑制依賴於RNA的蛋白質合成而發揮抑菌作用。
【藥代動力學】
本品耐酸,口服吸收好,經胃腸道吸收後脫乙醯基轉變為螺旋黴素而起抗菌作用。單劑口服0.2g後2小時達血藥峰濃度(Cmax)1mg/L。本品在體內分布廣泛,在膽汁、尿液、膿液、支氣管分泌物、肺組織及前列腺中的濃度一般較血濃度高,本品不能透過血-腦脊液屏障。平均血消除半衰期(t1/2β)約為4~8小時。多次給藥後體內有蓄積作用。本品主要經糞便排泄,12小時經尿排泄量約為給藥量的5%~15%,其中大部分為代謝產物,膽汁中濃度可達血濃度的15~40倍。
【適應症】
適用於敏感葡萄球菌、鏈球菌屬和肺炎鏈球菌所致的輕、中度感染,如咽炎、扁桃體炎、鼻竇炎、中耳炎、牙周炎、急性支氣管炎、慢性支氣管炎急性發作、肺炎、非淋菌性尿道炎、皮膚軟組織感染,亦可用於隱孢子蟲病、或作為治療妊娠期婦女弓形體病的選用藥物。
【用法用量】
成人劑量:一次0.2~0.3g,一日4次,首次加倍。
小兒劑量:一日按體重20~30mg/kg,分4次服用。
【不良反應】
不良反應主要為腹痛、噁心、嘔吐等胃腸道反應,常發生於大劑量用藥時,程度大多輕微,停藥後可自行消失。變態反應少,主要為藥疹。
【禁忌】
對本品、紅黴素及其他大環內酯類過敏的患者禁用。
【注意事項】
1.由於肝膽系統是乙醯螺旋黴素排泄的主要途徑,故嚴重肝功能不全患者慎用本品。
2.輕度腎功能不全患者不需作劑量調整,但乙醯螺旋黴素在嚴重腎功能不全患者中的使用尚缺乏資料,故應慎用。
3.如有過敏反應,立即停藥。
【孕婦及哺乳期婦女用藥】
本品可透入胎盤,故在孕婦中套用需充分權衡利弊後決定是否套用。尚無資料顯示乙醯螺旋黴素是否經乳汁排泄,但由於許多大環內酯類藥物可經乳汁排泄,故哺乳期婦女宜慎用本品,如必須套用時應暫停哺乳。
【兒童用藥】
6個月以內小兒患者的療效及安全性尚未確定。
【老年患者用藥】
肝、腎功能正常的老年患者不需減量套用。
【藥物相互作用】
1.本品不影響氨茶鹼等藥物的體內代謝。
2.在接受麥角衍生物類藥物的患者中,同時使用某些大環內酯類曾出現麥角中毒,目前尚無麥角與乙醯螺旋黴素相互作用的報導,但理論上仍存在這一可能性,因此乙醯螺旋黴素與麥角不宜同時服用。
【藥物過量】
【規格】
(1)0.1g(10萬單位) (2)0.2g(20萬單位)
【貯藏】
密封,在涼暗乾燥處保存
片劑
【藥品名稱】
通用名:乙醯螺旋黴素片
曾用名:
商品名:
英文名:Acetylspiramycin Tablets
漢語拼音:Yixiɑn LuoxuɑnmeisuPiɑn
本品為單乙醯螺旋黴素Ⅱ、單乙醯螺旋黴素Ⅲ、雙乙醯螺旋黴素Ⅱ和雙乙醯螺旋黴素Ⅲ四個組分為主的混合物。
結構式:(參見乙醯螺旋黴素膠囊)
【性狀】
本品為糖衣片或薄膜衣片,除去包衣後,顯類白色或微黃色。
【藥理毒理】
乙醯螺旋黴素為螺旋黴素的乙醯化衍生物,屬16元環大環內酯類。本品對金黃色葡萄球菌、肺炎鏈球菌、化膿性鏈球菌、糞腸球菌等革蘭陽性球菌具良好抗菌作用。對李斯特菌屬、卡他莫拉菌、淋病奈瑟菌、胎兒彎曲菌、流感嗜血桿菌、嗜肺軍團菌、百日咳桿菌、擬桿菌屬、產氣莢膜桿菌、痤瘡丙酸桿菌、消化球菌和消化鏈球菌以及衣原體屬、支原體屬、弓形體、隱孢子蟲等亦具抑制作用。腸道革蘭陰性桿菌通常耐藥。
作用機制為乙醯螺旋黴素與敏感微生物的核糖體50S亞單位結合,抑制依賴於RNA的蛋白質合成而發揮抑菌作用。
【藥代動力學】
本品耐酸,口服吸收好,經胃腸道吸收後脫乙醯基轉變為螺旋黴素而起抗菌作用。單劑口服0.2g後2小時達血藥峰濃度(Cmax)1mg/L。本品在體內分布廣泛,在膽汁、尿液、膿液、支氣管分泌物、肺組織及前列腺中的濃度一般較血濃度高,本品不能透過血-腦脊液屏障。平均血消除半衰期(t1/2β)約為4~8小時。多次給藥後體內有蓄積作用。本品主要經糞便排泄,12小時經尿排泄量約為給藥量的5%~15%,其中大部分為代謝產物,膽汁中濃度可達血濃度的15~40倍。
【適應症】
適用於敏感葡萄球菌、鏈球菌屬和肺炎鏈球菌所致的輕、中度感染,如咽炎、扁桃體炎、鼻竇炎、中耳炎、牙周炎、急性支氣管炎、慢性支氣管炎急性發作、肺炎、非淋菌性尿道炎、皮膚軟組織感染,亦可用於隱孢子蟲病、或作為治療妊娠期婦女弓形體病的選用藥物。
【用法用量】
成人劑量:一次0.2~0.3g,一日4次,首次加倍。
小兒劑量:每一日按體重20~30mg/kg,分4次服用。
【不良反應】
病人對本品耐受性良好,不良反應主要為腹痛、噁心、嘔吐等胃腸道反應,常發生於大劑量用藥時,程度大多輕微,停藥後可自行消失。變態反應極少,主要為藥疹。未發現肝、腎功能損害及血、尿常規異常。
【禁忌】
對本品、紅黴素及其他大環內酯類過敏的患者禁用。
【注意事項】
1.由於肝膽系統是乙醯螺旋黴素排泄的主要途徑,故嚴重肝功能不全患者慎用本品。
2.輕度腎功能不全患者不需作劑量調整,但乙醯螺旋黴素在嚴重腎功能不全患者中的使用尚缺乏資料,故應慎用。
3.如有過敏反應,立即停藥。
【孕婦及哺乳期婦女用藥】
本品可透入胎盤,故在孕婦中套用需充分權衡利弊後決定是否套用。尚無資料顯示乙醯螺旋黴素是否經乳汁排泄,但由於許多大環內酯類藥物可經乳汁排泄,故哺乳期婦女宜慎用本品,如必須套用時應暫停哺乳。
【兒童用藥】
6個月以內小兒患者的療效及安全性尚未確定。
【老年患者用藥】
肝、腎功能正常的老年患者不需減量套用。
【藥物相互作用】
1.本品不影響氨茶鹼等藥物的體內代謝。
2.在接受麥角衍生物類藥物的患者中,同時使用某些大環內酯類曾出現麥角中毒,目前尚無麥角與乙醯螺旋黴素相互作用的報導,但理論上仍存在這一可能性,因此乙醯螺旋黴素與麥角不宜同時服用。
【藥物過量】
【規格】
(1)0.1g(10萬單位) (2)0.2g(20萬單位)
【貯藏】
密封,在涼暗乾燥處保存 。

