定義
三重積分圖示
三重積分
三重積分
三重積分
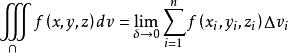
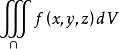
三重積分設三元函式z=f(x,y,z)定義在有界閉區域Ω上將區域Ω任意分成n個子域Δv(i=123…,n)並以Δv表示第i個子域的體積.在Δv上任取一點 作和 .如果當各個子域的直徑中的最大值λ趨於零時,此和式的極限存在,則稱此極限為函式f(x,y,z)在區域Ω上的三重積分,記為 ,即 ,其中dv叫做體積元素。
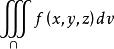
三重積分其中,∫∫∫稱為三重積分號,f(x,y,z)為被積函式,f(x,y,z)dv稱為被積表達式,dv稱為體積元,x、y、z為積分變數,Ω為積分區域, 為積分和。
性質
線性性質
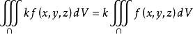
三重積分(1) (k為常數),被積常數中的常數因子可以提到三重積分號外面。
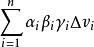
三重積分(2)設α、β為常數,則 ,函式的和(或差)的三重積分等於各個函式的三重積分的和或差。
可加性質
如果空間閉區域G被有限個曲面分為有限個子閉區域,則在G上的三重積分等於各部分閉區域上三重積分的和。
不等性質
三重積分
三重積分如果在G上, f(x,y,z)≤φ(x,y,z),則有,特殊地,若函式f(x,y,z)在Ω上可積,則|f(x,y,z)|亦在Ω上可積 ,且有。
估值性質
三重積分設M、m分別為f(x,y,z)在閉區域G上的最大值和最小值,V為G的體積,則有 mV≤≤MV。
積分中值定理
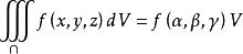
三重積分設函式f(x,y,z)在閉區域G上連續,V是G的體積,則在G上至少存在一個點 使得
三重積分。
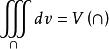
三重積分另外由重積分的性質知,當f(M)=1時,三重積分 ,這裡V(Ω)表示空間域Ω的度量,即V(Ω)表示Ω的體積。
計算方法
直角坐標系法
適用於被積區域Ω不含圓形的區域,且要注意積分表達式的轉換和積分上下限的表示方法
⑴先一後二法投影法,先計算豎直方向上的一豎條積分,再計算底面的積分。
①區域條件:對積分區域Ω無限制;
②函式條件:對f(x,y,z)無限制。
⑵先二後一法(截面法):先計算底面積分,再計算豎直方向上的積分。
①區域條件:積分區域Ω為平面或其它曲面(不包括圓柱面、圓錐面、球面)所圍成
②函式條件:f(x,y)僅為一個變數的函式。
柱面坐標法
三重積分適用被積區域Ω的投影為圓時,依具體函式設定,如設
①區域條件:積分區域Ω為圓柱形、圓錐形、球形或它們的組合;
三重積分②函式條件:f(x,y,z)為含有與 (或另兩種形式)相關的項。
球面坐標系法
適用於被積區域Ω包含球的一部分。
圖片①區域條件:積分區域為球形或球形的一部分,錐 面也可以;
三重積分②函式條件:f(x,y,z)含有與 相關的項。
幾何意義
三重積分就是立體的質量。
當積分函式為1時,就是其密度分布均勻且為1,質量就等於其體積值。
當積分函式不為1時,說明密度分布不均勻。
套用
設Ω為空間有界閉區域,f(x,y,z)在Ω上連續
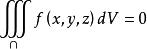
(1)如果Ω關於xOy(或xOz或yOz)對稱,且f(x,y,z)關於z(或y或x)為奇函式,則:
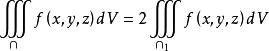
(2)如果Ω關於xOy(或xOz或yOz)對稱,Ω1為Ω在相應的坐標面某一側部分,且f(x,y,z)關於z(或y或x)為偶函式,則:
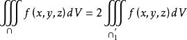
(3)如果Ω與Ω’關於平面y=x對稱,則:
三重積分
三重積分
三重積分
