簡介
sign(x)或者Sign(x)叫做 符號函式,在數學和計算機運算中,其功能是取某個數的符號(正或負):
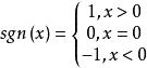
當x>0,sign(x)=1;
當x=0,sign(x)=0;
當x<0, sign(x)=-1;
在通信中,sign(t)表示這樣一種信號:
當t≥0,sign(t)=1; 即從t=0時刻開始,信號的幅度均為1;
當t<0, sign(t)=-1;在t=0時刻之前,信號幅度均為-1
套用
符號函式(一般用sign(x)表示)是很有用的一類函式,能夠幫助我們在幾何畫板中實現一些直接實現有困難的構造。
符號函式的定義如下:
sign函式能夠把函式的符號析離出來,套用他來定義我們熟悉的絕對值函式就可以改寫成
在幾何畫板中(或者一般的程式設計軟體中)有絕對值的運算,所以不必如此,但是,比較大小在幾何畫板中沒有,在一般的程式中都可以很輕鬆的處理,這裡恐怕就得藉助於符號函式了。
給定兩個數值A和B,sgn(A-B)就代表了兩者的大小。但是我們需要的是返回一個那個大(或小)的值,就得費些周折了。先給出另一個函式h(x)=sgn(1+sgn(x)),不難看出如下結論:
sign函式就可以表示兩者之間的較小的。
sign函式就可以表示兩者之間的較大的。
sign函式
sign函式
sign函式這個符號函式的套用是很巧妙的,還有更巧之處,若把A,B看成是兩個變數,那么我們用符號函式表出了 , ,這是一個二元函式,在中學的範圍內沒有太多的研究的必要,但若把x,y分別看成一個關於第三個變數的函式,就是x(t)以及y(t),問題就會轉化回來,就變成了函式 ,這個函式還是比較讓我們感興趣的,就是函式:
sign函式=
於是,按照幾何畫板中的方式進行定義函式,並且畫出函式圖象。下圖以sinx和cosx為例畫出了圖象。
其實,原來的常數A,B看成常函式,比較兩個數的大小自然就可以看成是一種特殊情況了。
這裡符號函式的套用顯得很恰當,讓我們再回顧一下,先是把sgn(x)加工成h(x),h(x)起到的作用是平衡兩者之間那一個為0的,那么我們不妨嘗試一下用另一種方法來定義h(x)。
幾乎就可以象前面一樣套用了,但是存在一個x=0的問題,可以把x=0點帶入。
對於A=B這個數值就象是加權平均一樣,只要是 ,那么 。
於是,我們得到了新的形式的max{x(t),y(t)}
max{x(t),y(t)}=
從表面上沒有差別,但“核心”的構造已經有了變化。更有趣的是,如果你把這個新的式子還原成sgn(x)表述,那么,認識就會更深入一步。
這個公式的可接受程度比前兩者都好,應該很熟悉,無論怎么講,比較兩個量的大小已經很豐富了。
我們還可以就勢討論下去,一方面,可以把問題的從兩個量到多個量,另一方面,可以考慮這個符號函式在指導其他函式的性質上的套用。
如何實現從兩個量到多個量的拓展呢?當然可以使用複合。
用h(x)進行複合,在數學式子上太麻煩,但我們可以使用幾何畫板4中的定製工具,一旦以兩個函式為基礎定製了工具max{x(t),y(t)},就可以再次的使用進行定義,得到三個,四個以致多個的函式最值工具。
本圖是先定義了f(x),g(x)和q(x)的基礎上,定義了工具max{f(x),g(x)},之後用這個工具比較h(x)和前面產生的r(x),畫出圖象,之後就可以在這個基礎上創建max{f(x),g(x),h(x)}工具。
拓展
我們再談論一下其他方面的拓展,其實,我們可以看得出,在整個的圖象的繪製中,f(x)-g(x)的作用,他是描述出了定義域的類別,在不同的定義域上,我們選擇不同的解析式來作圖,而使其他的解析式無效,這種方式很容易讓人聯想到分段函式,不過分段函式的定義域的決定是取決於一個外部的因素,是人為的劃分的區域,那么,我們就可以引如一個外部的量(比如x軸上的一個點來劃分)來劃分定義域,在劃分好的區域上面選擇解析式作圖。比如,以平面上的任意一點D的橫坐標劃分兩個區域,在其左面畫出y=sinx,右面畫出y=x,並且定製了工具,如下圖:
三個函式的複合,如同前面,這裡不再贅述。
符號函式從本身的分段特性出發,很好處理了函式的區域的劃分,解決了函式的特殊複合,更多的套用還要逐漸實踐中發現。

