理化性質
物理性質
性狀:白色針狀結晶,見光變色。有特殊臭味。
溶解性:易溶於熱水,能溶於冷水、乙醇及乙醚,微溶於苯。
晶相標準燃燒熱:-2854.1kJ/mol
晶相標準生成熱:-364.5kJ/mol
氣相標準燃燒熱:-2953.3kJ/mol
氣相標準生成熱:-265.3kJ/mol
氣相標準生成自由能:-179.6kJ/mol
氣相標準熵:344.28J/(mol·K)
氣相標準熱熔 :123.60J/(mol·K)
化學性質
穩定。遇明火、高熱可燃。燃燒分解為一氧化碳、二氧化碳。與強氧化劑可發生反應,受高熱分解放出有毒的氣體。
與氧化劑、氫氧化鈉反應,燃燒釋放刺激煙霧。是有毒、高毒物品。
在動物試驗中,反覆給予30~50mg/kg劑量時,則可引起急性黃色肝萎縮,除引起嚴重的肝損傷外,並能發生異常的色素沉著。服用1克時,能刺激食道,而引起耳鳴、噁心、嘔吐、腹痛、虛脫;服用5克時可致死。
化學數據
1.疏水參數計算參考值(XlogP):無
2.氫鍵供體數量:2
3.氫鍵受體數量:2
4.可鏇轉化學鍵數量:0
5.互變異構體數量:3
6.拓撲分子極性表面積40.5
7.重原子數量:8
8.表面電荷:0
9.複雜度:54.9
10.同位素原子數量:0
11.確定原子立構中心數量:0
12.不確定原子立構中心數量:0
13.確定化學鍵立構中心數量:0
14.不確定化學鍵立構中心數量:0
15.共價鍵單元數量:1
生產方法
hq[對苯二酚]1.苯胺氧化法
將苯胺、二氧化錳和硫酸按摩爾比為1∶3∶4加入反應釜內,加料時應在夾套中通冷凍水控制溫度在10℃以下。攪拌下反應10h,反應溫度逐漸升至25℃左右,生成苯醌。然後在反應物內通入水蒸氣進行水蒸氣蒸餾,蒸出的苯醌與水蒸氣經部分冷凝後流入還原釜,再加入與苯醌的摩爾比為1∶0.7的鐵粉,加熱至90~100℃,攪拌下反應3~4h,還原反應的產物為對苯二酚。還原產物經過濾除去氧化鐵渣後,進行減壓脫水濃縮。然後加入焦亞硫酸鈉、活性炭、鋅粉,加熱至沸騰進行脫色。趁熱過濾後,濾液緩緩降溫至30℃以下,對苯二酚以針狀結晶析出,經離心脫水後,加入沸騰床於80℃下進行乾燥,即得成品。
2.苯酚羥基化法
採用過氧化氫作羥基化劑,反應在催化量的無機強酸或二價鐵鹽或鈷鹽存在下進行。
製備對苯二酚的化學反應式
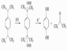
製備對苯二酚的化學反應式3.二異丙苯氧化法利用過氧化物進行氧化反應,製得氫醌。
套用領域
1.對苯二酚主要用作照相的顯影劑。對苯二酚及其烷基化物廣泛用於單體貯運過程添加的阻聚劑,常用的濃度約為200ppm。
2.用作橡膠和汽油的抗氧劑等。
3.處理領域,將氫醌加於閉路加熱和冷卻系統的熱水和冷卻水中,對水側金屬能起緩蝕作用。氫醌用爐水的除氧劑,在鍋爐水預熱除氧時將氫醌加入其中,以除去殘餘溶解氧。
4.是製造蒽醌染料、偶氮染料、醫藥原料。
5.用作洗滌劑的緩蝕劑、穩定劑和抗氧劑等,還用於化妝品的染髮劑。
6.光度測定磷、鎂、鈮、銅、矽和砷等。銥的極譜法和容量法測定。雜多酸的還原劑,銅和金的還原劑 。
臨床套用
氫醌洗劑
對苯二酚由苯胺氧化成對苯醌,再經過還原製成無色或白色晶末對苯二酚是傳統的脫色藥物,能有效地治療色素性皮膚病。對苯二酚雖有療效,但穩定性差。於1999年3月研製了對苯二酚洗劑,克服了對苯二酚霜難以保存的缺點,並觀察其對黃褐斑臨床療效。
臨床資料
資料完整的黃褐斑患者56例,男9例,女47例;年齡21~47歲,平均28歲;病程2周~10年,平均4.5年。均為皮膚科門診患者。隨機分為治療組30例,對照組26例,兩組間差異無顯著性具有可比性。
注意事項
侵入途徑:吸入、食入、經皮吸收健康。
危害:毒性比酚大,對皮膚、黏膜有強烈的腐蝕作用,可抑制中樞神經系統或損害肝、皮膚功能。
急性中毒:吸入高濃度蒸氣,可致頭痛、頭昏、乏力、視物模糊、肺水腫等;誤服可出現頭痛、頭暈、耳鳴、蒼白、紫紺、噁心、嘔吐、腹育、呼吸困難、心動過速、尺厥、譫妄和虛脫 ,嚴重者嘔血、血尿、溶血性黃疸,甚至可致死。
慢性影響:長期低濃度吸入,可致頭痛、頭暈、咳嗽、食慾減退、噁心、嘔吐等。皮膚可引起皮炎。
急性毒性:LD320mg/kg(大鼠經口);人經口5000mg/kg,死亡。
刺激性:人經皮:250mg(24小時),輕度刺激。
亞急性和慢性毒性:動物亞急性中毒表現為溶血性黃疸、貧血、白細胞增多、紅細胞脆性增加、低血糖、皮毛無光澤和明顯的惡病質。
致突變性:微生物致突變性:鼠傷寒沙門氏菌2umol/皿。微核試驗:人淋巴細胞75umol/L。性染色體缺失和不分離:人淋巴細胞6mg/kg。DNA損傷:人骨髓500mol/L。
生殖毒性:大鼠經口最低中毒劑量(TDL0):2500mg/kg(孕1~22天),致植入後的死亡率(51天,雄性),影響睪丸、附睪、輸精管、前列腺、精囊等,對雄性生育指數有影響。
致癌性:IARC致癌性評論:動物不明確,人類無可靠數據。
空氣中:樣品經濾器收集後,用酸洗脫,再用高壓液相色譜法測定 (NIOSH法 )
眼睛防護:戴化學安全防護眼鏡。
防護服:穿相應的防護服。
手防護:戴防化學品手套。
眼睛接觸:立即提起眼瞼,用流動清水或生理鹽水沖洗至少15分鐘。就醫。
吸入:迅速脫離現場至空氣新鮮處。保持呼吸道通暢。呼吸困難時給輸氧。呼吸停止時,立即進行人工呼吸。就醫。
食入:患者清醒時立即給飲植物油15~30ml。催吐,儘快徹底洗胃。就醫。
皮膚接觸:立即脫去污染的衣著,用甘油、聚乙烯乙二醇或聚乙烯乙二醇和酒精混合液 (7:3 )抹擦。然後用水徹底沖洗。或立即用水沖洗至少15分鐘。就醫。
滅火方法:霧狀水、泡沫、二氧化碳、乾粉、砂土。
泄漏應急處理:隔離泄漏污染區,周圍設警示標誌,建議應急處理人員戴好防毒面具,穿化學防護服。不要直接接觸泄漏物,避免揚塵,用清潔的鏟子收集於乾燥淨潔有蓋的容器中,運至廢物場所。也可以用大量水沖洗,經稀釋的洗水放入廢水系統。如大量泄漏,收集回收或無害處理後廢棄。
廢棄物處置方法:用焚燒法。焚燒爐排出的氣體通過洗滌器除去有害成份。
呼吸系統防護:空氣中濃度超標時,必須佩帶防毒面具。緊急事態搶救或逃生時,佩帶自給式呼吸器
其它:工作現場禁止吸菸、進食和飲水。工作後,徹底清洗。單獨存入被毒物污染的衣服,洗後再用。注意個人清潔衛生。
運輸注意事項:鐵路運輸時應嚴格按照鐵道部《危險貨物運輸規則》中的危險貨物配裝表進行配裝。運輸前應先檢查包裝容器是否完整、密封,運輸過程中要確保容器不泄漏、不倒塌、不墜落、不損壞。嚴禁與酸類、氧化劑、食品及食品添加劑混運。運輸途中應防曝曬、雨淋,防高溫;
儲存注意事項:儲存於陰涼、通風的庫房。遠離火種、熱源。包裝要求密封,不可與空氣接觸。應與氧化劑、酸類、鹼類、食用化學品分開存放,切忌混儲。配備相應品種和數量的消防器材。儲區應備有合適的材料收容泄漏物。應嚴格執行極毒物品“五雙”管理制度;
包裝注意事項:塑膠袋或二層牛皮紙袋外纖維板桶、膠合板桶、硬紙板桶;塑膠袋或二層牛皮紙袋外普通木箱;螺紋口玻璃瓶、鐵蓋壓口玻璃瓶、塑膠瓶或金屬桶(罐)外普通木箱;螺紋口玻璃瓶、塑膠瓶或鍍錫薄鋼板桶(罐)外滿底板花格箱、纖維板箱或膠合板箱。
安全術語
S26:不慎與眼睛接觸後,請立即用大量清水沖洗並徵求醫生意見。 (In case of contact with eyes, rinse immediately with plenty of water and seek medical advice. )
S36/37/39:穿戴適當的防護服、手套和護目鏡或面具。 (Wear suitable protective clothing, gloves and eye/face protection. )
S61:避免釋放至環境中。參考特別說明/安全數據說明書。 (Avoid release to the environment. Refer to special instructions / safety data sheets. )
風險術語
R22:吞食有害。 (Harmful if swallowed. )
R40:少數報導有致癌後果。 (Limited evidence of a carcinogenic effect. )
R41:對眼睛有嚴重傷害。 (Risk of serious damage to the eyes. )
R43:與皮膚接觸可能致敏。 (May cause sensitization by skin contact. )
R50:對水生生物有極高毒性。 (Very toxic to aquatic organisms. )
R68:可能有不可逆後果的危險。 (Possible risk of irreversible effects. )
法規信息
法規信息 《危化品安全管理條例》(2011年3月20日國務院發布),化學危險物品安全管理條例實施細則 (化勞發[1992] 677號),工作場所安全使用化學品規定 ([1996]勞部發423號)等法規,針對化學危險品的安全使用、生產、儲存、運輸、裝卸等方面均作了相應規定;常用危險化學品的分類及標誌 (GB 13690-92)將該物質劃為第6.1類毒害品。
![hq[對苯二酚] hq[對苯二酚]](/img/e/fad/nBnauM3X3YTN3EDOyADO5IDN0UTMyITNykTO0EDMwAjMwUzLwgzL1YzLt92YucmbvRWdo5Cd0FmL0E2LvoDc0RHa.jpg)
