背景知識
在照相機的光學鏡頭部分中,裝有一個大小可調的可變光闌(有效光闌),一般稱為光圈。通過調解光圈可以控制進入鏡頭中的光能量。
另外,到達像面(感光膠片)上的光強,不僅與鏡頭的通光面積成正比(即正比於光圈直徑D的平方),而且還與像面的面積成反比,即像面面積越小,光能量越集中,像面接收到的光強越大。
F 數
F 數一般而言,照相機拍攝物體的距離比較遠,像距近似等於鏡頭焦距 ,焦距越大像距越大。而像的面積是與像距的平方成正比的,即像的面積近似與焦距 的平方成正比。
F 數
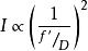
F 數所以,一般情況下,像面接收到的光強正比於 ,即
F 數在照相機的術語中就把 叫做相對孔徑。
定義及性質
F 數
F 數
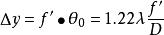
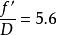
F 數在照相機行業里,一般不常使用相對孔徑的概念,而是使用相對孔徑的倒數 ,稱之為F數,也叫光圈數。記作 。例如,F/5.6表示F數等於5.6。即 ,它表示鏡頭的焦距等於光圈直徑的5.6倍。顯然,像面接收到的光強反比於F數的平方。即
F 數F數又稱為鏡頭速度,F數小的鏡頭速度快。因為拍攝的曝光時間△t 正比於F數的平方。
F數還能表征鏡頭的解析度,F數越小,能分辨兩點間的距離越小,即解析度越高。因為圓孔最小衍射角為:
F 數所以,像面上能夠分辨得開的兩點間的最小距離可以計算得到:
F 數照相機鏡頭的F數及平方值
| F數 | 1.4 | 2 | 2.8 | 4 | 5.6 | 8 | 11 | 16 | 22 |
| 平方值 | 2 | 4 | 8 | 15 | 32 | 64 | 128 | 256 | 484 |
| 曝光時間 | F 數 | F 數 | F 數 | F 數 | F 數 | F 數 | F 數 | F 數 | F 數 |
F 數F數→
像面上的光強反比於F數的平方!
在相同環境下拍攝同一個物體,後一檔要比前一檔的曝光時間增加一倍 !
光圈數
定義
光圈數即F數。系統的像方焦距與入瞳直徑之比,即相對孔徑的倒數。
性質
光圈數(F)和光圈是一個反比關係。即F值越小,光圈越大。F值越大,光圈越小。
F值越小光圈越大 ~例如F1.8比F2.8光圈要大~
光圈越大進光亮越多,光圈小相反,光圈大背景越虛化,光圈小背景越清。
大光圈的優勢:
1.大光圈通光量大,可以提升快門速度,在光線不足時更有利於手持拍攝;
2.在拍攝運動物體時,大光圈有利於配合高速快門,將運動的物體“凝固”;
3.大光圈最迷人的一個特性是:用大光圈拍攝,焦平面上的被攝物清晰,而焦外模糊(也就是人們常說的虛化)。
通俗一些,如果想讓該清晰的地方清晰,不重要的地方模糊,就可以用大光圈,這有利於突出主體,常用於拍攝人像,比如室外人像藝術照。深入理解光圈:要理解什麼是光圈,首先要了解相對孔徑。相對孔徑就是鏡頭的光孔直徑與鏡頭焦距之比。假如照相機鏡頭的最大光孔直徑是25mm,而焦距是50mm,那么照相機鏡頭最大相對孔徑就是1/2。相對孔徑的倒數,便稱為鏡頭的光圈係數(又稱F值)。那么,按照這個定義,上面舉例中的最大光圈是2.0。因為光圈數是相對孔徑的倒數,因此光圈數越小,鏡頭通過光線的能力越強。對照相機鏡頭而言,
F值是個特別重要的參數,F值越小,鏡頭的適用範圍越廣。
人們在選擇鏡頭時,當然要首選通光能力強的產品。由於大光圈鏡頭的製造工藝要求更高(大光圈時對邊緣像場減小畸變的要求更高),在畸變差異不大的前提下,往往最大光圈越大,其價值也就越高。對專業鏡頭而言,F值從1.8到1.4,往往價格就會有數千元的上升。小光圈則比較容易實現,通過調整鏡頭中的光圈葉片而縮小相對孔徑,便可以減少通光量,因此最小光圈一般都不用多慮。因此,在選擇數位相機時,如果多款相機在技術指標上旗鼓相當,可優先選擇F值小的。
光圈優先
大多用在拍人像以及風景時。光圈優先就是手動定義光圈的大小,相機會根據光圈值確定快門速度。
由於光圈的大小直接影響著景深,因此在平常的拍攝中此模式使用最為廣泛。在拍攝人像時,一般採用大光圈長焦距而達到虛化背景獲取較淺景深的作用,這樣可以突出主體。同時較大的光圈,也能得到較快的快門值,從而提高手持拍攝的穩定。在拍攝風景這一類的照片時,往往採用較小的光圈,這樣景深的範圍比較廣,可以使遠處和近處的景物都清晰,同樣這一點在拍攝夜景時也適用。
F 數 