基本介紹
設
T矩陣是長為n的(0,±1)-序列,若
T矩陣(i)對1≤j≤n,恰有一個為±1,其餘3個均為0,
(ii)對1≤j≤n-1,恆有
T矩陣
T矩陣則稱是一組不相交T-序列。簡稱 T-序列(T-sequence)。
T矩陣
T矩陣對上述T-序列,設1≤i≤4,令X表示以A為第一行而生成的n階循環矩陣,則稱為一組n階不相交循環T-矩陣,簡稱 循環T-矩陣。
用T-矩陣構造Baumert-Hall陣列
T矩陣引理1設為n階循環T-矩陣。則
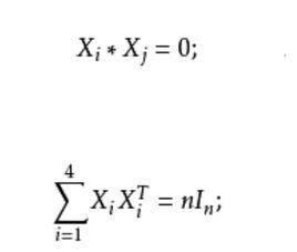
(i)1≤i,j≤4,i≠j,則X與X不相交,即
T矩陣
T矩陣(ii)是一個(1,-1)-矩陣;
(iii)
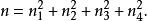
T矩陣(iv)對1≤i≤4,X的各行和都相等,設X的行和為n,則
T矩陣下述定理給出構作Baumert-Hall陣列的一個強有力方法。
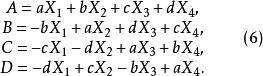
T矩陣定理1(Cooper,J.Wallis) 設為n階循環T-矩陣,a,b,c,d為交換變元,令
T矩陣再設R為下述n×n矩陣:
式(7)將式(6)與式(7)代入下述Goethal-Seidel陣列
式(8)則得到一個OD(4n;n,n,n,n)。
在上述定理中,若取a=b=c=d=1,則得到一個4n階H-陣,於是得到下述結果。
定理2若存在一組長為n的T-序列。則存在4n階H-陣。
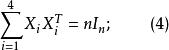
T矩陣由定理1與定理2可見T-序列在構作Baumert-Hall陣列和Hadamard矩陣時所起的重要作用。一般來說,尋求長為n的T-序列並不容易。由引理1之(iv)可知。設是一組長為n的T-序列,又設A中所有元素的和為n,1≤i≤4,則必有
T矩陣這一觀察有助於尋找T-序列。由Lagrange四平方和定理,任一正整數n都能表為4個非負整數的平方和,但是否對每一個正整數n都存在長為n的T-序列?這是一個尚未解決的問題,從對構作Hadamard矩陣的套用而言,我們主要關心n為奇數時T-序列的存在性。
猜想1 設n≥1為奇數,則存在長為n的T-序列。
若上述猜想成立,則作為其推論,Hadamard猜想也就得到證明。
定理3若4n≤200,則4n階H-陣存在。

