定義
形如
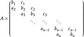
三對角矩陣的n×n矩陣A稱為三對角矩陣,其中第(i,j)個元素在j>i+1和j<i-1時為零。
三對角矩陣的建立
分析矩陣特點
三對角矩陣三對角矩陣M是一個對角矩陣,若且唯若 時,有M(i,j)=0。在一個nxn的三對角矩陣T中,非0元素排列在如下的三條對角線上:
(1)主對角線即i=j;
(2)主對角線之下的對角線(稱低對角線)即i=j+1;
(3)主對角線之上的對角線(稱高對角線)即i=j-1。
這三條對角線上的元素總數為3n-2,故可以使用一個擁有3n-2個位置的一維數組來描述T,因為僅需要存儲三條對角線上的元素。
矩陣實例
考察如下所示的4×4三對角矩陣:
三對角矩陣三對角矩陣上共有10個元素,如果把這些元素逐行映射到t中,則有t[0:9]=[2,1,3,1,3,5,2,7,9,0];如果逐列映射到t上,則有t[0:9]=[2,3,1,1,5,3,2,9,7,0];如果按照對角線的次序(從最下面的對角線開始)進行映射,則有t[0:9]=[3,5,9,2,1,2,0,1,3,7]。
建立該三對角矩陣的程式
利用Store函式把傳入的x值存儲在相應的三對角矩陣中,並通過switch語句判斷其所在位置。具體程式如下:
確定三對角矩陣的特徵值
QR法
三對角矩陣
三對角矩陣
三對角矩陣
三對角矩陣
三對角矩陣
三對角矩陣
三對角矩陣QR法對於三對角矩陣來說是很好的,在這個方法中,矩陣被分解成以下形式: ,其中 是正交矩陣, 是上三角矩陣。產生如下的矩陣序列:將 化成乘積形式 ,則 定義為 。
三對角矩陣
三對角矩陣
三對角矩陣
三對角矩陣
三對角矩陣
三對角矩陣
三對角矩陣
三對角矩陣
三對角矩陣
三對角矩陣
三對角矩陣
三對角矩陣
三對角矩陣
三對角矩陣
三對角矩陣
三對角矩陣一般來說,對於 化成 ,其中 是正交矩陣, 是上三角矩陣,則 被定義為 和 以相反次序乘積式,即 。因為 是正交矩陣, 。 是對稱的,與 有相同的特徵值。我們定義和成這樣的形式:是三對角矩陣,最終趨於變為對角陣,其對角線上的元素給出原矩陣的特徵值。
特徵多項式法
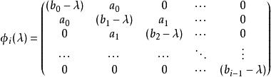
三對角矩陣特徵多項式法可以像特徵多項式的根一樣確定特徵值。有一種有效的方法來構造三對角矩陣的特徵多項式。使用符號法可以求特徵值的歸類,從而形成一個Sturmian序列。然後用對分法或試位法來求精確的特徵值。由Householder變換得到的對稱三對角矩陣的特徵多項式為:
三對角矩陣其中,i=1,2,...,n,有:
三對角矩陣
三對角矩陣
三對角矩陣
三對角矩陣從向前的Sturm序列可以表示為:
三對角矩陣
三對角矩陣因此,有
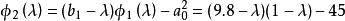
實例
求下述三對角矩陣的特徵多項式:
三對角矩陣解:把該矩陣與特徵多項式的一般形式作比較,則有
三對角矩陣比較這兩個矩陣,得到
三對角矩陣
三對角矩陣
三對角矩陣
三對角矩陣
三對角矩陣
三對角矩陣
三對角矩陣
三對角矩陣
三對角矩陣
三對角矩陣在的表達式中代入和的值並化簡,得到:。

