語法
STDEVP(number1,number2, ...)
Number1,number2, ... 是對應於總體的 1 到 30 個數字參數。
說明
忽略邏輯值(如 TRUE 和 FALSE)和文本。如果不能忽略邏輯值和文本,請使用 STDEVPA 電子表格函式。
STDEVP 假設其參數為整個樣本總體。如果數據代表樣本總體中的樣本,應使用 STDEV 來計算標準偏差。
STDEVP函式對於大樣本容量,STDEV 和 STDEVP 的計算結果大致相等。
此處標準偏差的計算使用“有偏差”或 n 方法。
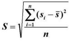
STDEVP 的計算公式如右邊所示:
示例
如果您將示例複製到空白工作表中,可能會更易於理解該示例。
| St1 | St2 | St3 | St4 | St5 | St6 | St7 | St8 | St9 |
| 1345 | 1301 | 1368 | 1322 | 1310 | 1370 | 1318 | 1350 | 1303 |
| 公式=STDEVP([St1], [St2], [St3], [St4], [St5], [St6], [St7], [St8], [St9], [St10]) | ||||||||
| 說明(結果):假定只生產了 10 件工具,其斷裂強度的標準偏差 (26.05455814) | ||||||||

