釋義
STDEV 基於樣本估算標準偏差。常使用與SPC控制手法中作為一個整體參考值
STDEV(number1,number2,...)
Number1,number2,... 是對應於總體中的樣本的 1 到 30 個數字參數。
說明
忽略邏輯值(TRUE 和 FALSE)和文本。如果不能忽略邏輯值和文本,請使用STDEVA 函式。
STDEV 假設其參數是總體中的樣本。如果數據代表整個樣本總體,則應使用函式STDEVP 來計算標準偏差。
此處標準偏差的計算使用“無偏差”或“n-1”方法。
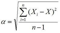
公式
STDEVSTDEV 的計算公式如下:(x為樣本里1 到
n 個數值的平均值)
示例
假設有 9件工具在製造過程中是由同一台機器製造出來的,並取樣為隨機樣本進行斷裂強度測量。
| St1 | St2 | St3 | St4 | St5 | St6 | St7 | St8 | St9 | 公式 | 說明(結果) |
| 1345 | 1301 | 1368 | 1322 | 1310 | 1370 | 1318 | 1350 | 1303 | =STDEV([St1],[St2],[St3],[St4],[St5],[St6],[St7],[St8],[St9]) | 斷裂強度的標準偏差 (27.46391572) |
表格套用
函式描述
STDEV 函式在 Excel 2003 和更高版本的 Excel 來說明該函式的使用方式,並比較結果函式的 Excel 2003 和更高版本的 Excel 的早期版本的 Excel 中使用時的 STDEV 結果中。
更多信息函式 STDEV 返回其值包含在 Excel 工作表中,並將其參數或 STDEV 參數指定的一個示例的樣本標準偏差。 語法 STDEV(value1, valu...函式 STDEV 返回其值包含在 Excel 工作表中,並將其參數或 STDEV 參數指定的一個示例的樣本標準偏差。
格式
STDEV(value1, value2, value3, ...)
其中 value1...,value2 達 30 個值參數。
最常見的用法的 STDEV 包括只有 1 個值參數指定包含該的示例例如對於 STDEV(A1:B100) 的單元格的範圍。
用法
創建一個空白 Excel 工作表,請將下面選擇表複製到空白 Excel 工作表中單元格 A1,然後貼上各項,以便下填充表的單元格在工作表中的 A1:D17。
收起該表格展開該表格數據
6 樣本平均值 =average(a3:a8)
4 採樣大小 =count(a3:a8)
2 STDEV =stdev(a3:a8)
1 pre-Excel 2003 STDEV v1 =sqrt((d4*sumsq(a3:a8)-(SUM(A3:A8)^2)) / (d4 * (d4-1)))
3 pre-Excel 2003 STDEV v2 =sqrt((sumsq(a3:a8)-(總和 (a3:a8) ^2) / d4) /(d4-1))
5 Excel 2003 和更高版本的 Excel 中 STDEV = SQRT (devsq(a3:a8) /(d4-1))
修改後的數據 若要將添加到數據 10 的冪 1
= a3 + 10 ^ $ D $ 10 樣本平均值 =average(a12:a17)
= a4 + 10 ^ $ D $ 10 採樣大小 =count(a12:a17)
= a5 + 10 ^ $ D $ 10 STDEV =stdev(a12:a17)
= a6 + 10 ^ $ D $ 10 pre-Excel 2003 STDEV v1 =sqrt((d13*sumsq(a12:a17)-(SUM(A12:A17)^2)) / (d13 * (d13-1)))
= a7 + 10 ^ $ D $ 10 pre-Excel 2003 STDEV v2 =sqrt((sumsq(a12:a17)-(總和 (a12:a17) ^2) / d13) /(d13-1))
= a8 + 10 ^ $ D $ 10 Excel 2003 和更高版本的 Excel 中 STDEV = SQRT (devsq(a12:a17) /(d13-1))
注意事項
注意您將此表貼上到新的 Excel 工作表後,單擊 貼上選項 按鈕,然後單擊 匹配目標格式。貼上區域仍處於選中狀態的情況下,請執行以下任一操作:
在 Microsoft Office Excel 2007 年單擊 開始 選項卡,單擊 單元格 組中的 格式,然後單擊 自動調整列寬。
在 Excel 2003 中指向 格式 選單上的 列,然後單擊 列寬。
單元格 A3:A8 包含在此示例中使用的 6 個數據點。
單元格 D5 包含當前版本的 Excel STDEV 的值。如果您使用 Excel 2003 和更高版本的 Excel,則此值應與 D8 單元格中值一致。在 D8 單元格中值顯示在 Excel 2003 和更高版本的 Excel 的值為 STDEV (無論所使用的 excel 版本)。單元格 D6 和 D7 顯示兩個近似值為值的 STDEV 已由早期版本的 Excel 中計算的。該公式單元格 D6 中的將顯示為 Excel 2002 及早期版本的幫助檔案中的公式。
在此的示例中的所有版本將 1.870828693 的值都返回。沒有計算此處的問題導致 STDEV 的 Excel 版本之間的差異。
可以使用行 10 到 17 可以進行實驗性的修改後的數據通過添加一個常數 (在這種情況下添加 10 的冪),每個數據點。它是眾所周知向每個數據點添加一個常數,不會影響樣本標準偏差的值。
如果您更改單元格 D10 中的值 (例如: 為 1、 2、 3、 4、 5、 6 或 7),可以看到修訂過的數據值的單元格 A12:A17 中,您還可以查看 STDEV 的所有版本都都在這些 7 的情況下功能良好。
但如果您繼續實驗來嘗試值 8、 9 和單元格 D10 中的 10,您會注意到 Excel 2003 和更高版本的 Excel 的值仍保持 1.870828693 (如應該),Excel 版本值時 Excel 2002及更早版本更改 (即使它們應該在 1.870828693 保持常數)。如果計算可以使用無限的精度來完成,將不出現此錯誤。
早期版本的 Excel 中會表現出錯誤的答案,在這些情況下,因為捨入誤差的影響將更加深遠與使用這些版本的計算公式。仍然,在此試驗中使用該情況下可被視為而不是極高。在早期版本的 Excel 中的結果
在極端情況下,在數據中有許多位有效數字但,在同一時間是一個小方差舊的計算公式會導致不準確的結果。早期版本的 Excel 中可用於一次在數據計算的數據值的平方和之和,數據的值的總和,數據值 (示例大小) 的計數。這些量後被組合到早期版本的 Excel 中的幫助檔案中指定的計算公式。
在 Excel 2003 及更高版本的 Excel 中的結果
在 Excel 2003 和更高版本的 Excel 中使用該過程使用通過數據雙步過程。首先,求和並計數的數據值的計算,並可從這些計算樣本平均值 (平均)。然後上在第二步, 找到的每個數據點與樣本平均值之間平方的時差,這些誤差平方進行求和。甚至具有高中單元格 D10,10 的冪在數值示例中不會影響這些誤差平方和在第二步的結果是獨立的單元格 D10 中條目。因此,結果在 Excel 2003 及更高版本中按數字順序是 excel 的更穩定。
結論
替換由兩次通過方法一一遍方法保證更好的 STDEV 在 Excel 2003 及更高版本的 Excel 中的數值性能。excel 2003 和更高版本的 Excel 中的結果都不會比早期版本中的結果不太準確。
在大多數實際的示例但是,您不可能會看到 Excel 2003 和更高版本的 Excel 結果和結果之間的差異,在早期版本的 Excel 中。出現此問題的原因典型的數據是不可能展現出此試驗說明的異常行為的類型。數值不穩定性是 excel 的最有可能出現在早期版本中,數據包含一個高有效數字位數加上相對較少變體之間的數據值時。
如果使用早期版本的 Excel,並且想要查看如果切換到 Excel 2003 和更高版本的 Excel 將產生的效果進行比較的結果
STDEV(values)與SQRT(DEVSQ(values)/(COUNT(values) – 1))的結果
一致的所需的準確性級別結果是否然後切換到 Excel 2003 和更高版本中不會影響 STDEV 的值。
如果使用 Excel 2003 和更高版本的 Excel,並且想要查看的 STDEV(values) 計算的值是否已更改從將在當您使用 Excel 的早期版本已找到的值進行比較。
STDEV(values)與SQRT((SUMSQ(values) - (SUM(values)^2)/COUNT(values))/(COUNT(values) - 1))
此比較提供值的 STDEV 由早期版本的 Excel 中可以找到至少一個很好近似值
該過程的查找關於樣本平均值的偏差的平方和的總和
查找示例平均值
每個計算平方差,
求和偏差平方的和
為更準確比可選過程 (經常命名計算器公式,是因為它是適用於使用的少量數據點的上一個計算器):
查找所有觀察值、 樣本大小和的所有觀察值的總和的平方和之和。
計算 ((sum of all observations) 減去所有觀察值的平方和之和 ^2) / 採樣大小)。
有許多其他函式,進行了改進,在 Excel 2003 和更高版本的 Excel,通過替換此後一一遍過程由雙步過程查找中的樣本平均值的第一個傳遞並計算偏差有關它在第二步中的平方和之和。
此類功能的簡短列表包括 VAR、 VARP、 STDEV、 STDEVP、 DVAR、 DVARP、 DSTDEV、 DSTDEVP、 FORECAST、 斜率、 INTERCEPT、 PEARSON、 RSQ 和 STEYX。三個的分析的差異工具,在分析工具庫中的每箇中進行了類似的改進。

