由於BP神經網路的傳遞函式必須可微,所以感知器的傳遞函式--二值函式在這裡不可用,故BP神經網路一般使用Sigmoid函式或者線性函式作為傳遞函式。而Sigmoid函式又分為Log-Sigmoid函式(一般所說的S型函式就是這個的簡稱)和Tan-Sigmoid函式(又稱為雙曲正切S型函式),前者的值域為(0,1),後者的值域為(-1,1)。
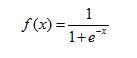
Log-Sigmoid函式的表達式:
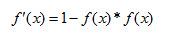
S型函式Log-Sigmoid函式的導數:
S型函式Tan-Sigmoid函式的表達式:
S型函式Tan-Sigmoid函式的導數:
S型函式這兩個函式都是連續的、單調遞增的數值函式,常被套用於基於BP(誤差反向傳播)算法的神經網路中。一般情況下,BP神經網路隱含層的傳遞函式是S形函式,輸出層是線性函式。當然,輸出層也可採用S型函式,若輸出層為S型函式,則輸出值的範圍為該S型函式的值域。利用S形函式或其導數可以求得BP神經網路里某個神經元的總和、目標值和誤差值等。

