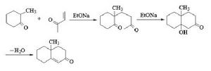
含活潑亞甲基的環酮與a,b-不飽和羰基化合物在鹼存在下反應,形成一個二並六員環的環
系:
Robinson反應本反應分為兩步,第一步是Micheal加成反應,第二步是羥醛縮合反應。
反應實例:
Robinson反應
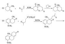
含活潑亞甲基的環酮與a,b-不飽和羰基化合物在鹼存在下反應,形成一個二並六員環的環系。
含活潑亞甲基的環酮與a,b-不飽和羰基化合物在鹼存在下反應,形成一個二並六員環的環
系:
Robinson反應本反應分為兩步,第一步是Micheal加成反應,第二步是羥醛縮合反應。
反應實例:
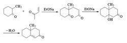
Robinson反應含活潑亞甲基的環酮與a,b-不飽和羰基化合物在鹼存在下反應,形成一個二並六員環的環系。
《縮合反應原理》是2017年化學工業出版社出版的圖書,作者是孫昌俊、王秀菊。
內容簡介 圖書目錄羅賓森增環反應,該反應於1935年由英國R.羅賓森首先發現。是在鹼的催化作用下,環己酮及其衍生物與曼尼期鹼的季銨鹽作用,生成雙環α,β-不飽和酮的反應。
羅賓森增環反應及其特點 反應機理 發展與改進 重要套用麥可(Michael)反應是指碳負離子對 α、β-不飽和醛 、酮 、羧酸 、酯、腈、硝基化合物等的共軛加成反應,該反應是一類十分重要的有機反應。在有機...
反應介紹 碳負離子 反應機理 競爭反應 有機套用是robinson增環反應,在鹼性環境下,一個酮類化合物首先變成烯醇鹽...串聯反應指的是在同一個反應環境並不進行新操作時,加入的反應物連續進行兩步或兩步以上的反應,其有特點:1.開始時加入的反應物較多2.前一步反應...
63第十四節Robinson環化反應67第十五節Stetter反應...基本信息有機環合反應原理與套用作者:孫昌俊、劉少傑、李文保 主編...本書對環合反應的基本理論和基本規律進行了詳細介紹,包括反應類型、反應機理...
羅賓遜成環反應(Robinson annulation)是一種重要的構築六元環的反應。由英國牛津大學著名化學家羅伯特·羅賓遜爵士發明的合成方法。在萜類化...
、Robinson環化七、二元羧酸的熱分解八、F?C反應九、Skraup喹啉合成法...手冊》(2011年11月,298元,化學工業出版社)、《藥物合成反應...、鹵化氫的親電加成三、鹵代烴1、雙分子消除(E2)機理2、消除反應的取向...
基本內容 內容簡介 作者簡介 目錄1.1.1 有機分子及其反應特點1.1.2 有機化合物的分類和官能團1.2...1.7 立體位阻效應1.8 溶劑效應1.9 有機反應的類型1.10 有機反應... 烷烴和環烷烴的化學性質2.16.1 氧化反應2.16.2 熱解反應...
內容簡介 目錄