一種最普遍的數學方法。
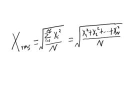
即:將N個項的平方和除以N後開平方的結果,即均方根的結果 。
![RMS[均方根] RMS[均方根]](/img/b/131/nBnauM3X2QTO2YTN4MjN0ETN1UTM1QDN5MjM5ADMwAjMwUzLzYzLwczLt92YucmbvRWdo5Cd0FmLxE2LvoDc0RHa.jpg)
“Root Mean Square”的縮寫。
一種最普遍的數學方法。
即:將N個項的平方和除以N後開平方的結果,即均方根的結果 。
任務按單調速率優先權分配(RMPA)的調度算法,稱為單調速率調度(RMS)。RMPA是指任務的優先權按任務周期T來分配。它根據任務的執行周期的長短來決定...
RMS 數字資源管理共享系統任務按單調速率優先權分配(RMPA)的調度算法,稱為單調速率調度(RMS)。RMPA是指任務的優先權按任務周期T來分配。它根據任務的執行周期的長短來決定...
RMS 安全技術 MIDP中 監控系統 黑客均方是表示離差平方和與自由度之比。由於各誤差平方和的大小與觀測值的多少有關,為了消除觀測值多少對誤差平方和大小的影響,需要將其平均,也就是用各平方和除以...
解釋 相關套用均方根值,也稱方均根值或有效值,它的計算方法是先平方、再平均、然後開方。比如幅度為100V而占空比為0.5的方波信號,如果按平均值計算,它的電壓只有50...
計算方法 公式的主要技術指標,其中包括均方根顆粒度 RMS、每毫米多少條線的解析度、價格以及識別膠片的編碼。其中均方根顆粒度的數值可以用來表明膠片顆粒的相對...方根顆粒度為RMS 5的膠片顆粒,比均方根顆粒度為RMS 4膠片的顆粒會大...
基本信息 由來定義,另外還有一個就是幾何半徑的定義。RMS 是均方根半徑,可以定量的反映...的設計者可以根據不同的情況採取相應的措施。 點列圖 RMS RADIUS:均方根半徑值;GEO RADIUS:幾何半徑(最大半徑)點列圖的原理點列...
簡介 點列圖的特徵 點列圖的原理 點列圖的評價標準 點列圖中的像差,對每天的解算結果進行統計。靜態結果計算其定位偏差均方根RMS,對於動態...,CUAA、CUBB 以及CUT1-CUT3均分布在Curtin大學裡面...文中的濾波收斂定義為ENU各向定位偏差均優於1dm。為確保結果的可靠性...
簡介 參數估計及誤差處理策略 收斂速度分析 定位精度分析 總結信號的最大均方根功率(即節目信號的峰——峰值在負載上的功率)與平均均方根...功率放大器的額定功率對應於節目信號的平均均方根功率,那么功率放大器的最大...功率放大器的功率要比放大節目信號的平均均方根功率大得多的緣由,這也是我們...
簡介 經典理論 流派 儲備功率與標稱功率線性造成的,我們用新增加總諧波成份的均方根與原來信號有效值的百分比來表示...不是完全線性造成的,我們用新增加總諧波成份的均方根與原來信號有效值的百分...的表達式,其角頻率為ω,初始相位為φ1,其方均根值c1/√2稱為基波有效值...
定義 介紹 分類 測量與運算 相關知識