定義
作為一種常用的測量數值之間差異的量度, 均方根差的數值常為模型預測的量或是被觀察到的估計量。方均根偏移代表預測的值和觀察到的值之差的樣本標準差,當這些差值是以資料樣本來估計時,他們通常被稱為殘差;當這些差值不以樣本來計算時,通常被稱為預測誤差。方均根偏移主要用來聚集預測裡頭誤差的大小,通常是在不同的時間下,以一個量值來表現其預測的能力。方均根偏移是一個好的準度的量度,但因其與數值範圍有關,因此被限制只能用來比較不同模型間某個特定變數的預知誤差。
方程式
均方根差
均方根差方均根差的估計子 對應到被估計的參數 被定義為其均平方差的平方根
均方根差對一個無偏估計量(unbiased estimator)來說,均方根差是變異數的平方根,也就是我們所稱的標準差(standard deviation)。
均方根差
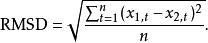
均方根差均方根差的預測值 對時間t的回歸應變項 是以n個不同的預測來做為其均方差的平方根:
均方根差
均方根差
均方根差在某些情況下,方均根差被用來比較兩個物品之間的不同(可能沒有任一個物品被視為"標準")。例如,當我們在量測兩個時間序列 和 時,方均根的式子會變成
均方根差正規化的均方根差
正規化的均方根差(NRMSD)可以使得不同數值範圍的資料集更易於比較。雖然目前並沒有一個一致性的方法來正規化方均根差,但較常用平均值或是資料的範圍來正規化被量測的資料。
均方根差這個值常被用來指正規化的方均根偏移或誤差,同時也常常被表示成比例。當比例的值較低時,代表較少的殘差變異。在很多情況下,特別是取較小的樣本的時候,樣本的範圍容易被樣本的大小影響,其準確度可能就受到影響。
當以平均值來正規化量測值時,方均根差的變異係數(coefficient of variation,縮寫CV)可能被用來避免混淆。這和方均根差在標準差上的變異係數是相同的 。
均方根差套用
1.在天氣學上,可用來評估一個數值模型可以多好的預測大氣層的行為。
2.在生物資訊學中,方均根差被用來量測重疊蛋白質分子間的距離。
3.在結構藥物設計中,方均根差被用來測量配體的晶格構造以及對接預測(docking prediction)。
4.在經濟學中,方均根差被用來覺得一個模型是否符合經濟指標(economic indicators)。部分專家曾提出方均根差比相對絕對誤差(relative absolute error)來的不可靠。
5.在實驗心理學中,分均根差被用來指示一個數學或計算行為模型(mathematical or computational models)能解釋實際觀察行為的良好程度。
6.在地理資訊系統中(GIS),方均根差是一種用來量測空間分析和遠距偵測的量度。
7.在水文地質學中,方均根差和正規化方均根差被用來評估地下水模型的刻度 。
8.在影像科學中,方均根差是一種峰值訊噪比,是一種用來檢視一個方法能多好的去重建原來的影像。
9.在計算神經科學中,方均根差被用來檢視一個系統能學習一個給定模型的能力。
10.在蛋白質核磁共振光譜學中,方均根差被用來當作一個評估結構品質的量度。
