概論
最基本的被動線性元件為電阻器(R)、電容器(C)和電感元件(L)。這些元件可以被用來組成4種不同的電路:RC電路、RL電路、LC電路和RLC電路,這些名稱都緣於各自所使用元件的英語縮寫。它們體現了一些對於模擬電子技術來說很重要的性質。它們都可以被用作被動濾波器。本條目主要講述RL電路串聯、並聯狀態的情況。
在實際套用中通常使用電容器(以及RC電路)而非電感來構成濾波電路。這是因為電容更容易製造,且元件的尺寸普遍更小。
復阻抗
具有電感 L(以亨利為單位)的電感元件的復阻抗 Z(以歐姆為單位)為 :
RL電路復頻率 s是一個複數,
RL電路這裡
j表示虛數單位:
RL電路
RL電路為指數衰減常數(以每秒弧度為單位),且
RL電路為角頻率(以每秒弧度為單位)
示性函式
複數函式示性函式(Eigenfunctions)對所有線性時不變系統(linear time-invariant, LTI)有以下的形式:
RL電路
RL電路
RL電路
RL電路,若令,則可重寫為,合併複數指數後得到
通過複數的歐拉公式,示性函式的實部為指數衰減的正弦值:
RL電路正弦穩定狀態
正弦穩定狀態是當輸入電壓僅包含純的正弦信號的特殊情況,即不存在指數衰減。因此:
RL電路且 s的值變為:
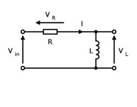
RL電路串聯
如果把整個RL電路看做一個按阻抗進行分壓的系統,則電感元件“分得”的電壓為:
RL電路電阻器“分得”的電壓為:
RL電路電流
RL電路由於是串聯電路,因此電路處處電流相等,且為:
傳遞函式
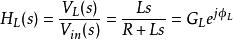
電感元件的傳遞函式為:
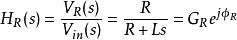
RL電路類似的,電阻器的傳遞函式為:
RL電路極點和零點
兩個傳輸函式都有一個極點位於:
RL電路另外,電感元件在原點處有一個零點。
增益和相位
通過代入上面的表達式,可以求得兩個組件的增益為:
RL電路且
RL電路,
相位為:
RL電路且
RL電路.
相量表示
通常用相量代替上面的式子來表達輸出:
RL電路
RL電路.
脈衝回響
每一種電壓的衝激回響是對應傳輸函式的反拉普拉斯變換。它代表電路對於包含脈衝或狄拉克δ函式的輸入電壓的回響。
電感元件電壓的回響為:
RL電路這裡 u( t)是單位階躍函式且
RL電路為時間常數。
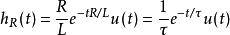
類似的,電阻器電壓的回響為:
RL電路零輸入回響
RL電路的零輸入回響(Zero input response, ZIR)描述了電路在不連線輸入信號源的情況下、達到穩定電壓和電流時的工作狀態。因為它沒有外接輸入信號,因此得名。
一個RL電路的零輸入回響為:
RL電路.
RL電路其中是時間常數。

