簡介
最基本的被動線性元件為電阻器(R)、電容器(C)和電感元件(L)。這些元件可以被用來組成4種不同的電路:RC電路、RL電路、LC電路和RLC電路,這些名稱都緣於各自所使用元件的英語縮寫。它們體現了一些對於模擬電子技術來說很重要的性質。它們都可以被用作被動濾波器。本條目主要講述RC電路串聯、並聯狀態的情況。
在實際套用中通常使用電容器(以及RC電路)而非電感來構成濾波電路。這是因為電容更容易製造,且元件的尺寸普遍更小。
特性
RC電路
RC電路
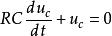
RC電路先從數學上最簡單的情形來看RC電路的特性。假定RC電路接在一個電壓值為的直流電源上很長的時間了,電容上的電壓已與電源相等(關於充電的過程在後面講解),在某時刻突然將電阻左端S接地,電容上進入了放電狀態。理論分析時,將時刻取作時間的零點。
RC電路依據KVL定律,建立電路方程:
RC電路初值條件是
RC電路這是一階齊次微分方程,其通解為:,
RC電路代入原方程後得:
RC電路特徵方程為:
RC電路特徵根為:
RC電路根據
RC電路得:;
RC電路故滿足初值的微分方程的解為:.
RC電路可以看出電容上電壓衰減的快慢取決於指數中的大小,其大小僅取決於電路結構與元件的參數。
RC電路當電阻的單位是Ω,電容的單位是F時,乘積RC的單位為秒(s),用表示。
RC電路則電容電壓可記為。
RC電路 | RC電路 | RC電路 | RC電路 | RC電路 | RC電路 | RC電路 | RC電路 | RC電路 |
RC電路 | RC電路 | RC電路 | RC電路 | RC電路 | RC電路 | RC電路 | RC電路 | 0 |
RC電路時間常數 是電容上電壓下降到初始值的1/ e =36.8% 經歷的時間。
當 t = 4 t時 ,電容電壓已經很小,一般認為電路進入 穩態。
以上稱為RC一階電路的零輸入回響。
分類
(1)RC 串聯電路
RC電路電路的特點:由於有電容存在不能流過直流電流,電阻和電容都對電流存在阻礙作用,其總阻抗由電阻和容抗確定,總阻抗隨頻率變化而變化。RC 串聯有一個轉折頻率: f0=1/2πR1C1 當輸入信號頻率大於 f0 時,整個 RC 串聯電路總的阻抗基本不變了,其大小等於 R1。
(2)RC 並聯電路
RC電路RC 並聯電路既可通過直流又可通過交流信號。它和 RC 串聯電路有著同樣的轉折頻率:f0=1/2πR1C1。 當輸入信號頻率小於f0時,信號相對電路為直流,電路的總阻抗等於 R1;當輸入信號頻率大於f0 時 C1 的容抗相對很小,總阻抗為電阻阻值並上電容容抗。當頻率高到一定程度後總阻抗為 0。
(3)RC 串並聯電路
RC電路RC 串並聯電路存在兩個轉折頻率f01 和 f02: f01=1/2πR2C1, f02=1/2πC1*[R1*R2/(R1+R2)] 當信號頻率低於 f01 時,C1 相當於開路,該電路總阻抗為 R1+R2。
當信號頻率高於 f02 時,C1 相當於短路,此時電路總阻抗為 R1。
當信號頻率高於 f01 低於 f02 時,該電路總阻抗在 R1+R2 到R1之間變化。
暫態回響
根據電路中外加激勵的情況,將電路暫態過程中的回響分三種;
1.:零狀態回響:換路後電路中的儲能元件無初始儲能,僅由激勵電源維持的回響。
2:零輸入回響:換路後電路中無獨立電源,僅由儲能元件初始儲能維持的回響。
3:全回響:換路後,電路中既存在獨立的激勵電源,儲能元件又有初始儲能,它們共同維持的回響。

RC電路
RC電路
RC電路
RC電路
RC電路
RC電路
RC電路
RC電路
RC電路
RC電路
RC電路
RC電路
RC電路
RC電路 