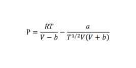
方程形式
RK方程的一般形式為:
RK方程其中:
● P為氣體壓強
● V為氣體的摩爾體積
● T為溫度
● R為氣體常數
● a為常數,用於修正分子間引力
● b為常數,用於修正體積
RK方程對烴類等非極性氣體精度較好,且適用的溫度、壓力範圍較寬,對極性氣體一般不適用。
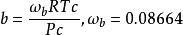
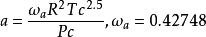
a和b的確定
常數a和b可以用實驗的P-V-T數據擬合求得,缺乏數據時可以利用流體的臨界常數來估算a和b,運用臨界等溫線在臨界點為拐點的特徵,即:
RK方程
RK方程其中Tc、Pc和Vc均為臨界常數,因為Vc的實驗值誤差很大,通常要消去Vc,將a和b變成Pc和Tc的表達式,
因此有:
RK方程
RK方程
RK方程
RK方程式中,和是純數字,與物質種類無關。

