由來
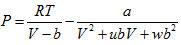
CEOS是經典熱力學狀態方程(EOS,equation of state),其提出的依據
是分子間的力包括排斥力和吸引力: P= Prep+ Patt。通常斥力項>0,
引力項<0。其通過表達式為
立方型方程CEOSs
CEOS方程的典型代表有標準的van der Walls、Redlich-Kwong(RK)、Peng-Robinson(PR)等等。下表為常見的CEOS。
Van der Waals (vdW) u=w=0
Redlich-Kwong (RK) u=1,w=0
Soave (SRK) u=1,w=0
Peng-Robinson (PR) u=2,w=-1
Heyen (H) u+w=1
Schmit-Wenzel (SW) u+w=1
HCL u=1,w=0
Harmens-Knapp (HK) u+w=1
F u=1,w=0
CEOS方程有原來的vdW變化而來,是普遍性規律,對於特定的目標會有較大的誤差,因為有各種修改的版本,主要修改集中在:
1. 採用更加複雜的引力項,例如RK在引力項中引入溫度,SRK和PR都引入溫度、偏心因子;
2. CEOS往往不能較為準確的預測液體體積,因此常常採用體積變化法修正誤差。原理是利用V+c代替原來的V;
缺陷
CEOS是經典的熱力學狀態方程,至今仍然十分具有活力,主要是因為該類方程形式簡單,表達式求根簡潔,規律性強。但是該類方程也具有比較突出的缺陷:
1. 在超臨界點附近預測誤差很大,主要從臨界壓縮因子可以看出,實際流體的Zc=0.21-0.31,比最常見的PR 0.3074,SRK 1/3來的小 ;
2. 預測液體體積能力不足;
3. 對複雜體系不適用,例如高分子體系
針對以上述原因,現在已經發展出很多的更加複雜、精確的狀態方程,如多參數狀態方程、統計熱力學狀態方程等等。

