釋義
面波震級(surface wave magnitude)指根據面波計算出來的震級,以符號Ms表示,是通用的震級。我國規定以它為標準,國外報導的地震震級一般也為面波震級,常用M來表示。
計算公式
面波震級計算公式為:
Ms[面波震級]式中,A為面波水平方向最大地動位移(以微米計),T為與A相應的周期(以秒計),σ(△)為面波震級量規函式,C為觀測台站的校正值。
其它類型震級
1、近震震級
近震震級是地震學名詞, 震中距在100~1000千米範圍內的地震叫近震,根據近震體波算出的震級稱為近震震級。
近震震級計算公式為:
Ms[面波震級]式中:M為用體波測定的近震震級;A為水平方向的最大地動位移數值(以微米計);R(Δ)為震級量規函式。
2、體波震級
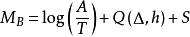
根據體波計算出來的震級。由B.Gutenberg和C.F.Richter於1956年提出,是以地動時體波(P波、PP波、S 波)波群的運動能量來表示地震規模大小的標準。常用m或M表示。計算公式為:
Ms[面波震級]式中A為地動波群的最大振幅的地動位移(單位微米);T為體波周期(以秒計),Q(△,h)為體波震級起算函式;S 為觀測分站的校正值。
3、芮氏規模
芮氏規模是兩位來自美國加州理工學院的地震學家裡克特(Charles Francis Richter)和古登堡(Beno Gutenberg)於1935年提出的一種震級標度,是目前國際通用的地震震級標準。它是根據離震中一定距離所觀測到的地震波幅度和周期,並且考慮從震源到觀測點的地震波衰減,經過一定公式,計算出來的震源處地震的大小。
![Ms[面波震級] Ms[面波震級]](/img/3/38a/nBnauM3XygDMyEjM3EDM5EDN0UTMyITNykTO0EDMwAjMwUzLxAzLwMzLt92YucmbvRWdo5Cd0FmL0E2LvoDc0RHa.jpg)
