米塞斯屈服準則的物理意義
在一定的變形條件下,當材料的單位體積形狀改變的彈性位能(又稱彈性形變能)達到某一常數時,材料就屈服。
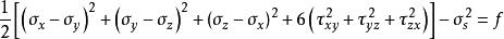
公式:
Mises 屈服準則
Mises 屈服準則當時,無屈服;
Mises 屈服準則當時,屈服。
Mises 屈服準則是在一定的變形條件下,當受力物體內一點的等效應力達到某一定值時,該點就開始進入塑性狀態。
米塞斯屈服準則的物理意義
在一定的變形條件下,當材料的單位體積形狀改變的彈性位能(又稱彈性形變能)達到某一常數時,材料就屈服。
公式:
Mises 屈服準則
Mises 屈服準則當時,無屈服;
Mises 屈服準則當時,屈服。
Mises 屈服準則是在一定的變形條件下,當受力物體內一點的等效應力達到某一定值時,該點就開始進入塑性狀態。
von Mises準則是馮·米塞斯於1913年提出的一個屈服準則。von Mises準則是一個綜合的概念,其考慮了第一、第二、第三主應力,可以用來對疲勞...
概念 內容Mohr-Coulomb屈服準則相對於Tresca屈服準則和Mises 屈服準則更多的是用來描述岩土材料的力學性質。
定義 性質研究土的屈服面形狀、運動和變化的理論。土的彈塑性模型理論的一部分。每一個彈塑性模型都對土的屈服面形狀及其運動規律作了具體的規定。拉特屈服準則是拉特 (L...
簡介 真三軸實驗 有關術語廣義馮·米賽斯屈服準則是指von Mises於1913年提出了一個屈服準則。 它的內容是當點應力狀態的等效應力達到某一與應力狀態無關的定值時,材料就屈服...
數學表達式 米塞斯應力 物理意義 特點米塞斯屈服條件由米塞斯(Mises)於1913年提出。米塞斯屈服準則: 在一定的變形條件下,當受力物體內一點的等效應力 達到某一定值時,該點就開始進入塑性狀態。米塞斯屈服準則的物理...
成形問題必要的補充方程。 屈服準則馮·米塞斯(Von.Mises)屈服...的當量應力,其值為第一主應力減去第三主應力。Von Mises是一種屈服準則,屈服準則的值我們通常叫等效應力。Ansys後處理中"Von...
介紹 屈服準則概念 屈服準則兩大部分。第一部分介紹塑性理論的基本內容,共五章,包括屈服準則、本構關係...參考價值。作品目錄目錄緒論第1章 屈服準則1-1初始屈服準則的一般討論1-2兩個常用的初始屈服準則1-2-1Tresca準則...
內容介紹 作品目錄Mises準則。但是,大量的研究結果表明,一般的岩土材料並不服從擴張Mises準則。通過應力變換的方法,將σ應力空間中的松岡-中井準則(如圖2...具有和劍橋模型的廣義Mises準則一樣的形狀,從而,可以使SMP準則和...
產生及推導 三軸試驗驗證 總結