數學表達式
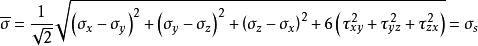
在一定的變形條件下,當受力物體內一點的應力偏張力的第二不變數達到某一定值時,該點就開始進入塑性狀態。即
廣義馮·米賽斯屈服準則用主應力表示為:
廣義馮·米賽斯屈服準則式中
σ——材料的屈服點
K ——材料的剪下屈服強度
與等效應力比較,可得
廣義馮·米賽斯屈服準則所以,廣義馮·米賽斯屈服準則也可以表述為:在一定的變形條件下,當受力物體內一點的等效應力達到某一定值時,該點就開始進入塑性狀態。
米塞斯應力
在彈塑性有限元計算中,屈服準則的數學描述是整個計算的核心。因此有人將等效應力叫 做von Mises應力。因此大家在彈塑性力學的書里查不到von Mises應力的定義。這是有限元軟體里的一種叫法。它等同於等效應力,又稱應力強度。
stress intensity(應力強度),是由第三強度理論得到的當量應力,其值為第一主應力減去第三主應力。Von Mises是一種屈服準則,屈服準則的值我們通常叫等效應力。Ansys後處理中"Von Mises Stress"我們習慣稱Mises等效應力,它遵循材料力學第四強度理論(形狀改變比能理論)。
第三強度理論認為最大剪應力是引起流動破壞的主要原因,如低碳鋼拉伸時在與軸線成45度的截面上發生最大剪應力,材料沿著這個平面發生滑移,出現滑移線。這一理論比較好的解釋了塑性材料出現塑性變形的現象。形式簡單,但結果偏於安全。第四強度理論認為形狀改變比能是引起材料流動破壞的主要原因。結果更符合實際。
一般脆性材料,鑄鐵、石料、混凝土,多用第一強度理論。考察絕對值最大的主應力。
一般材料在外力作用下產生塑性變形,以流動形式破壞時,應該採用第三或第四強度理論。壓力容器上用第三強度理論(安全第一),其它多用第四強度理論。
第四強度理論應力,即mises(米塞斯)等效應力作為衡量應力水平的主要指標。mises應力是正應力和剪下應力的組合,常用來描繪聯合作用的複雜應力狀態。
mises stress的確是一種等效應力,它用應力等值線來表示模型內部的應力分布情況,它可以清晰描述出一種結果在整個模型中的變化,從而使分析人員可以快速的確定模型中的最危險區域。 它是根據第四強度理論計算的,因為它的計算公式是第四強度理論。
首先介紹一下形狀改變比能,然後看看強度條件的推導。
物體在外力作用下會發生變形,這裡所說的變形,既包括有體積改變也包括有形狀改變。當物體因外力作用而產生彈性變形時,外力在相應的位移上就作了功,同時在物體內部也就積蓄了能量。例如鐘錶的發條(彈性體)被用力擰緊(發生變形),此外力所作的功就轉變為發條所積蓄的能。在放鬆過程中,發條靠它所積蓄的能使齒輪系統和指針持續轉動,這時發條又對外作了功。這種隨著彈性體發生變形而積蓄在其內部的能量稱為變形能。在單位變形體體積內所積蓄的變形能稱為變形比能。
由於物體在外力作用下所發生的彈性變形既包括物體的體積改變,也包括物體的形狀改變,所以可推斷,彈性體內所積蓄的變形比能也應該分成兩部分:一部分是形狀改變比能 ,一部分是體積改變比能。
物理意義
在一定的變形條件下,當材料的單位體積形狀改變的彈性位能(又稱彈性形變能)達到某一常數時,材料就屈服。
馮·米賽斯應力是基於剪下應變能的一種等效應力其值為:
廣義馮·米賽斯屈服準則其中a,a,a分別指第一、二、三主應力。
馮·米賽斯應力就是一種當量應力,它是根據第四強度理論得到的當量應力。 von mises stress 是綜合的概念,考慮了第一第二第三主應力,可以用來對疲勞,破壞等的評價。 YIELDING criterion (材料屈服標準)有基於stress analysis也有基於strain analysis的。 von mises stress(VMS)其實是一個STRESS yielding criterion.
我們認為對於某一材料來說,它都有一個yielding stress, 這個yielding stress 對應於相應的屈服點(yielding point)。
當材料受到外力刺激,如果其內部某處應力(VMS)大於這個yielding stress, 那么我們認為材料在此處有可能發生屈服。
Von Mises應力與Von MIses屈服準則,用在各向同性材料中較常見,來自於應力張量第一不變數。如果生物力學計算中缺乏材料數據,以近似材料參數代替,這種情況下似乎用VON應力也是可以的。
vms是材料力學中的第四屈服理論,主要是對塑性材料的,考慮的主要是疲勞效應。最大應力,最大應變主要是針對脆性材料的。
特點
廣義馮·米賽斯屈服準則具有如下優缺點:
優點:
(1)考慮了中主應力σ對屈服和破壞的影響;
(2)簡單實用,材料參數少,易於實驗測定;
(3)屈服曲面光滑,沒有稜角,利於塑性應變增量方向的確定和數值計算。
缺點:
(1)沒有考慮靜水壓力對屈服的影響;
(2)沒有考慮單純靜水壓力p對岩土類材料屈服的影響及屈服與破壞的非線性特性;
(3)沒有考慮岩土類材料在偏平面上拉壓強度不同的S-D效應,適用於金屬材料。

