定義
當最大剪應力達到材料所固有的某一定數值時,材料開始屈服(進入塑性變形階段)。這就是Tresca屈服條件,也稱為最大剪應力條件 。
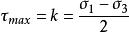
表達式:
Tresca屈服準則當σ1≥σ2≥σ3時,上式可表示為:
Tresca屈服準則也就是說當變形體或質點中的最大切應力達到某一定值時,材料就發生屈服。或者說,材料處於塑性狀態時,其最大切應力是一個不變的定值,該定值只取決於材料在變形條件下的性質,而與應力狀態無關。所以Tresca屈服準則又稱為最大切應力不變條件。
特點
這種模型與靜水壓力無關,也不考慮中間應力的影響。在平面上屈服條件為一個正六邊形,在主應力空間內,屈服曲面為一個正六面柱體。
Tresca屈服準則不足之處就是不包含中間主應力,沒有反映中間主應力對材料屈服的影響。
