介紹
stress intensity(應力強度),是由第三強度理論得到的當量應力,其值為第一主應力減去第三主應力。Von Mises是一種屈服準則,屈服準則的值我們通常叫等效應力。Ansys後處理中"Von Mises Stress"我們習慣稱Mises等效應力,它遵循材料力學第四強度理論(形狀改變比能理論)。
一般脆性材料,如鑄鐵、石料、混凝土,多用第一強度理論。考察絕對值最大的主應力。
一般材料在外力作用下產生塑性變形,以流動形式破壞時,應該採用第三或第四強度理論。壓力容器上用第三強度理論(安全第一),其它多用第四強度理論。
von mises stress的確是一種等效應力,它用應力等值線來表示模型內部的應力分布情況,它可以清晰描述出一種結果在整個模型中的變化,從而使分析人員可以快速的確定模型中的最危險區域。
屈服準則概念
A.受力物體內質點處於單向應力狀態時,只要單向應力大到材料的屈服點時,則該質點開始由彈性狀態進入塑性狀態,即處於屈服。
B.受力物體內質點處於多向應力狀態時,必須同時考慮所有的應力分量。在一定的變形條件(變形溫度、變形速度等) 下,只有當各應力分量之間符合一定關係時,質點才開始進入塑性狀態,這種關係稱為屈服準則,也稱塑性條件。它是描述受力物體中不同應力狀態下的質點進入塑 性狀態並使塑性變形繼續進行所必須遵守的力學條件,這種力學條件一般可表示為
範式等效應力又稱為屈服函式,式中 C 是與材料性質有關而與應力狀態無關的常數,可通過試驗求得。
屈服準則是求解塑性成形問題必要的補充方程。
屈服準則
馮·米塞斯(Von.Mises)屈服準則
數學表達式
在一定的變形條件下,當受力物體內一點的應力偏張力的第二不變數 J2' 達到某一定值時,該點就開始進入塑性狀態。即
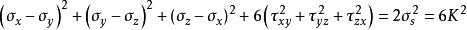
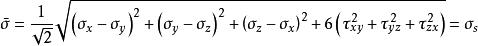
範式等效應力用主應力表示為
範式等效應力式中σ為材料的屈服點;K 為材料的剪下屈服強度。
與等效應力比較可得
範式等效應力所以,馮·米塞斯屈服準則也可以表述為:在一定的變形條件下,當受力物體內一點的等效應力達到某一定值時,該點就開始進入塑性狀態。
物理意義
範式等效應力
範式等效應力
範式等效應力
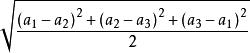
範式等效應力Von Mises 應力是基於剪下應變能的一種等效應力,其值為 其中 , , 分別指第一、二、三主應力。其大概的含義是在一定的變形條件下,當材料的單位體積形狀改變的彈性位能(又稱彈性形變能)達到某一常數時,材料就屈服;即當單元體的形狀改變比能達到一定程度,材料開始屈服。

