反應通式
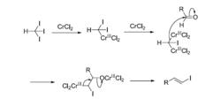
利用碘仿和二氯化鉻將醛立體選擇性的轉化為E構型的碘代烯烴的反應。
反應通式反應機理
多數的烯烴化反應都只適用於醛羰基或者酮羰基,而苯條件可以用於酯基與醯胺基團的羰基的烯烴化反應。由於反應中所用的試劑的鹼性比較弱,所以也可以用於一些容易發生烯醇化互變的底物。
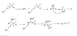
反應機理近期也有人提出自由基機理:
自由基機理反應實例
Tetrodotoxin的合成。
Tetrodotoxin的合成
gem-二鹵代烷烴轉化為有機鈦活性中間體後,再與羰基試劑反應合成烯烴的手法。 類似的反應有Tebbe試劑和Petasis反應,相比於這兩種只能適用於無取代的烯烴合成,本方法可以用於一些取代烯烴的合成,得到Z-式選擇性的產物。
利用碘仿和二氯化鉻將醛立體選擇性的轉化為E構型的碘代烯烴的反應。
反應通式多數的烯烴化反應都只適用於醛羰基或者酮羰基,而苯條件可以用於酯基與醯胺基團的羰基的烯烴化反應。由於反應中所用的試劑的鹼性比較弱,所以也可以用於一些容易發生烯醇化互變的底物。
反應機理近期也有人提出自由基機理:
自由基機理Tetrodotoxin的合成。
Tetrodotoxin的合成