蘭納-瓊斯勢(Lennard-Jones potential function, 又稱L-J勢能函式或6-12勢能函式)是計算化學中用來模擬兩分子間作用勢能的一個函式。最早由數學家John Lennard-Jones於1931年提出。由於其解析形式簡單而被廣泛使用,特別是用來描述惰性氣體分子間相互作用尤為精確。
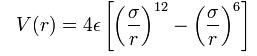
d蘭納-瓊斯勢能以兩體距離為唯一變數,包含兩個參數。其形式為:
sd等於勢能阱的深度,σ是互相作用的勢能正好為零時的兩體距離。在實際套用中,ε、σ參數往往通過擬合已知實驗數據或精確量子計算結果而確定。 另一種寫法是:
armin = 21/6σ是在勢能阱時底兩體間距離。
從物理意義上講,第一項可認為是對應於兩體在近距離時以互相排斥為主的作用,第二項對應兩體在遠距離以互相吸引(例如通過范德瓦耳斯力)為主的作用。但蘭納-瓊斯勢本身是一個近似公式。
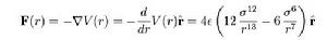
蘭納-瓊斯勢相應的兩體作用力為
c[編輯] 參見
